Sudoku ja pulmat
TEK 2/2021 -lehdessä julkaistujen Pulmien ja Sudokun ratkaisut:
Tehtävät laatineet: Anne-Maria Ernvall-Hytönen, Esa Vesalainen. Sudoku: Arto Inkala
PULMA 1
Ongelma. Matilda nikkaroi kaulaketjun kiinnittämällä säännöllisen 21-kulmion muotoisia laattoja toisiinsa sivuja pitkin kuten kuvassa.
Kuinka monta laattaa hän tarvitsee yhteen kaulaketjuun?
Ratkaisu. Laattojen keskipisteet muodostavat valmiissa kaulaketjussa säännöllisen monikulmion kärjet. Yhden kulman suuruus on 9*360/21 astetta. Toisaalta, säännöllisen x-kulmion yhden kulman suuruus on (x-2)*180/x astetta. Näin saamme yhtälön laattojen määrälle x, ja yhtälön ainoa ratkaisu on 14.
PULMA 2
Ongelma. Avaruusasemalla hiiri on kuution muotoisessa sokkelossa, joka koostuu
huoneesta, joista jokainen on yksikkökuution muotoinen. Sokkelon keskimmäisessä huoneessa on herkullinen juusto. Aluksi hiiri on nurkkahuoneessa. Jokaisesta huoneesta pääsee sellaiseen huoneeseen, jolla on yhteinen tahko, mutta lähtiessään huoneesta hiiri ei voi palata siihen myöhemmin. Toisaalta, keskimmäinen huone on lukossa, kunnes hiiri on ollut jokaisessa muussa huoneessa. Onko hiiren mahdollista päästä juustohuoneeseen?
Ratkaisu. Hiiriparan tehtävä on mahdoton. Tämän nähdäksemme toteamme, että jos väritämme huoneet vuorotellen mustalla ja valkoisella niin, että mustan huoneen naapurihuoneet ovat aina valkoisia ja kääntäen, ja että nurkkaruudut ovat mustia, niin silloin mustia huoneita on yksi enemmän kuin valkeita. Koska huoneen väri vaihtuu hiiren liikkuessa huoneesta toiseen, pitäisi keskimmäisen huoneen olla musta, jos hiiri voisi käydä jokaisessa huoneessa ja päättää reissunsa keskimmäiseen huoneeseen. Mutta sokkelon lävistäjää pitkin huoneiden värit myös vaihtelevat vuorotellen, ja keskimmäinen huone on valkea.
PULMA 3
Ongelma. Liisa on juuri saapunut Totuussaarelle vierailemaan kuuluisassa Villasukkamuseossa. Saaren asukkailla on varsin erikoinen kulttuuri: jokainen asukas on joko filosofi, joka kertoo aina vain totuuksia, tai sitten kelmi, joka kertoo aina vain valheita. Liisa valitettavasti eksyy matkalla museoon, ja törmää eräässä tienristeyksessä kahteen saaren asukkiin A ja B. Liisa kysyy heiltä, onko museo oikealla vai vasemmalla. Tähän A vastaa: ''Jos museo on vasemmalla, niin eilen satoi.'' B toteaa: ''Jos eilen satoi, niin museo on oikealla.'' A jatkaa: ''Jos toissapäivänä satoi, niin museo on oikealla.'' Ja B lisää: ''Jos museo on vasemmalla, niin toissapäivänä ei satanut.'' Kumpaan suuntaan Liisan kannattaa kääntyä?
Ratkaisu. Koska viimeiset kaksi väitettä ovat keskenään yhtäpitävät, ovat A ja B joko molemmat filosofeja tai molemmat kelmejä. Jos he olisivat molemmat kelmejä, olisivat kaikki väitteet epätosia. Mutta tällöin ensimmäisen vastauksen perusteella olisi niin, että eilen ei satanut, ja toisen vastauksen perusteella niin, että eilen satoi Siten A ja B ovat molemmat filosofeja, ja kaikki vastaukset tosia. Jos museo olisi vasemmalla, olisi niin, että eilen satoi, jolloin museo olisi oltava oikealla. Siten museo voi olla vain ja ainoastaan oikealla, jolloin kaikki neljä vastausta ovatkin varmasti tosia.
PULMA 4
Ongelma. Olkoon
jatkuva funktio, jolle yhtälöllä
ei ole reaalisia ratkaisuita. Todista, että myöskään yhtälöllä
ei ole reaalisia ratkaisuita.
Ratkaisu. Lauseke f(x)-x^3 määrittelee reaalisuoralla jatkuvan funktion, jolla ei ole nollakohtia. Jos se saisi sekä positiivisia että negatiivisia arvoja, olisi sillä oltava nollakohta Bolzanon lauseen nojalla. Täten joko f(x)>x^3 kaikilla reaaliluvuilla x, tai sitten f(x)<x^3 kaikilla x. Edellisessä tapauksessa
kaikilla reaaliluvuilla x, mistä haluttu johtopäätös heti seuraakin. Jälkimmäisen tapauksen voi käsitellä luonnollisesti täysin samalla tavalla.
SUDOKU
TEK 1/2021 -lehdessä julkaistujen Pulmien ja Sudokun ratkaisut:
TEK 1/2021 -lehdessä julkaistujen Pulmien ja Sudokun ratkaisut:
Tehtävät laatineet: Anne-Maria Ernvall-Hytönen, Esa Vesalainen. Sudoku: Arto Inkala
PULMA 1
Ongelma. Viidestä luvusta ensimmäinen on 1 ja viimeinen 9. Lisäksi listan minkä tahansa kolmen peräkkäisen kolmen luvun tulo on 3. Mikä on keskimmäinen luku?
Ratkaisu. Olkoot luvut a, b, c, d ja e. Koska peräkkäiset tulot ovat muuta kuin nollia, mikään luvuista ei voi olla nolla. Koska bcd = cde, on oltava b = e = 9. Koska 3 = abc = 1*9*c, on oltava c = 3/9 = 1/3.
PULMA 2
Ongelma. Kuinka moni kokonaislukukolmikko (x,y,z) toteuttaa yhtälön
Ratkaisu. Jos vain rohkeasti kerromme kaiken auki ja sievennämme, jäljelle jää [yhtalo2.pdf]
Siten mille tahansa kokonaislukujen y ja z valinnoille on olemassa täsmälleen yksi kokonaisluku x, jolle kolmikko (x,y,z) on yhtälön ratkaisu. Täten kokonaislukuratkaisuita on äärettömän monta.
PULMA 3
Ongelma. Olkoon $a>1$ ja olkoon $n>1$ kokonaisluku. Esitä luku
yhtenä murtolausekkeena, jonka osoittajassa ja nimittäjässä on kummassakin vain yksi 2-kantainen logaritmi.
Ratkaisu. Koska
voidaan alkuperäinen lauseke muuttaa muotoon
josta logaritmin tulon ja summan yhdistävällä säännöllä saadaan
PULMA 4
Ongelma. Perinteinen lautapelinappula on muodoltaan ikäänkuin pallo, johon on tökätty ympyräpohjainen kartio sisälle niin, että kartion kärki osuu pallon keskipisteeseen. Tarkastellaan nyt umpipuusta tehtyä pelinappulaa. Mallinnetaan sitä seuraavasti: Ajatellaan, että pelinappula sisältää kaikki ne (x,y,z)-koordinaatiston pisteet, jotka kuuluvat (0,0,3)-keskisen yksikköpallon sisään tai jotka kuuluvat ympyräpohjaiseen kartioon, jonka pohja on z=0-tasossa, keskipiste origossa, pohjan säde 1 ja kärki pisteessä (0,0,3). Laske tämän pelinappulan tilavuus.
Ratkaisu.
Lasketaan pallon ja kartion tilavuudet yhteen ja vähennetään molempiin sisältyvän pallosektorin tilavuus.
Kartion tilavuus on
ja pallon tilavuus
Nyt lasketaan vielä pallosektorin tilavuus. Pallosektorin tilavuus on
missä r on pallon säde ja h on vastaavan segmentin korkeus. Tiedetään, että r=1, joten riittää selvittää h. Tätä varten lasketaan missä kartion pinta ja pallon pinta leikkaavat toisensa. Kartion korkeus on 3, joten kartion vaippaa myöten piirretyn suoran janan (ikäänkuin hypotenuusan) pituus on
Kartion ja pallon pinta leikkaavat siis yhdenmuotoisten kolmioiden avulla korkeudella
Kalotin korkeus on siis
ja pallosektorin tilavuus
Nyt voimme laittaa kaiken yhteen. Kysytty tilavuus on siis
SUDOKU
TEK 5/2020 -lehdessä julkaistujen Pulmien ja Sudokun ratkaisut:
Tehtävät laatineet: Anne-Maria Ernvall-Hytönen, Esa Vesalainen. Sudoku: Arto Inkala
PULMA 1
Ongelma. Ongelma. Suorakulmion ala on 1 ja se on jaettu neljään osaan sivujen suuntaisilla janoilla. Laske mustaksi väritetyn osan ala.
Ratkaisu. Kolmion ala on kannan ja korkeuden tulo jaettuna kahdella.Koska jokaisen mustan kolmion kanta on yhden pienen suorakulmion sivu ja korkeus suorakulmion toinen sivu, on jokaisen kolmion ala puolet sen pienen suorakulmion alasta. Yhteensä ala on siis puolet suuren suorakulmion alasta, eli 1/2.
PULMA 2
Ongelma. Janan AB pituus on 3cm. Pisteestä C tiedetään, että kulma ACB on 60 astetta. Minkälainen kuvio esittää pisteen C kaikki mahdolliset sijainnit?
Ratkaisu. Kehäkulmalauseen perusteella kuvio koostuu kahdesta ympyränkaaresta, joiden välissä on jana AB.
PULMA 3
Ongelma. Lasketaan
Toistetaan tälle luvulle seuraavaa operaatiota: otetaan kymmenjärjestelmäesityksen ensimmäinen numero, poistetaan se luvusta ja lisätään se jäljelle jääneeseen lukuun kunnes jäljellä on yksinumeroinen luku. Mikä tämä luku on?
Ratkaisu. Luvun jakojäännös on 7 yhdeksällä jaettaessa ja kuvattu operaatio säilyttää jakojäännöksen yhdeksällä jaettaessa. Jakojäännös on siis 7. Ainoa yksinumeroinen luku, joka antaa jakojäännöksen seitsemän yhdeksällä jaettaessa on seitsemän.
PULMA 4
Ongelma. Meillä on käytettävissämme tämän muotoisia
neliöistä koostuvia laattoja:
Määritä pienin positiivinen kokonaisluku n, jolla tällaisilla laatoilla voi laatoittaa {{neliolaatatnxn.pdf}}-neliön muotoisen lattian, tai osoita, että tällaista lukua n ei ole olemassa.
Ratkaisu. Voimme helposti todeta, että näillä laatoilla voi laatoittaa 12x12-neliön muotoisen lattian. Nimittäin kahdesta tällaisesta laatasta voi helposti koota 3x4-suorakaiteen muotoisen isomman laatan:
Ja kolmella tällaisella voi helposti laatoittaa 3x12-suorakaiteen, ja toistamalla tällaisen laatoituksen neljään kertaan voimme laatoittaa 12x12-neliön.
PULMA 5
Olkoon n pienin positiivinen kokonaisluku, jolle näillä laatoilla voi laatoittaa {{neliolaatatnxn.pdf}}-lattian. Tietenkin n on enintään 12.
Yhden laatan pinta-ala on 6. Siten n^2 on kuudella jaollinen, eli myös kahdella ja kolmella jaollinen. Jos n olisi pariton, olisi myös n^2 pariton. Siten luvun n on oltava parillinen. Parillisista luvuista 2, 4, 6, 8 ja 10 ainoa, jonka neliö on kolmella jaollinen, on 6. Siten n=6 tai n=12.
Osoittautuu kuitenkin, että 6x6-neliön laatoittaminen ei ole mahdollista. Ottakaamme tätä varten tarkasteluun jokin nurkkaruutu.
Hieman pohtimalla voi todeta, että sen voi laatoittaa oleellisesti ottaen vain näillä kahdella tavalla:
Edellinen tapa johtaa kuitenkin ongelmaan, sillä siihen merkitty ruutu voidaan peittää vain näin:
Ja tässä kuviossa vasenta alanurkkaa ei voikaan mitenkään peittää.
Siis jokainen nurkka täytyy laatoittaa toisella tavalla. Mutta koska tämä pätee jokaiselle nurkalle, reunojen laatoitusten pitäisi näyttää
tältä:
Mutta nyt on helppo vakuuttua, että keskelle syntyvää aluetta ei voi mitenkään laatoittaa, esimerkiksi siksi, että kuvaan merkityistä kahdesta ruudusta enintään toisen voi peittää käytettävissä olevilla laatoilla.
Täten kysytty pienin arvo on n=12.
SUDOKU
TEK 4/2020 -lehdessä julkaistujen Pulmien ja Sudokun ratkaisut:
Tehtävät laatineet: Anne-Maria Ernvall-Hytönen, Esa Vesalainen. Sudoku: Arto Inkala
PULMA 1
Ongelma. Mitä saadaan lopputuloksena, kun lukujen 1, 2, ..., 100 summasta vähennetään lukujen 18, 19, ..., 117 summa?
Ratkaisu. Ensimmäisiä lukuja on sata kappaletta, ja jälkimmäiset luvut saa ensimmäisistä luvuista lisäämällä kuhunkin 17. Jälkimmäisten lukujen summa on siis edellisten lukujen summa, johon on lisätty 17*100=1700. Täten erotus on -1700.
PULMA 2
Ongelma. Maijalla on alla olevan kuvion mukainen kuusikulmioruudukko, ja hän haluaisi värittää sen ruudut neljällä eri värillä 1, 2, 3 ja 4 niin, että yksi laatta peittää aina kutakin väriä yhden ruudun verran, kun se asetetaan jotenkin päin laudalle niin, että se peittää täsmälleen neljä kokonaista ruutua.
Minkä värinen täytyy oikean alanurkan silloin olla, kun ylimmät kolme ruutua on jo väritetty kuvan osoittamalla tavalla?
Ratkaisu. Itse asiassa pienen pohdinnan jälkeen ilmenee, että jokainen väri ruudukossa määräytyy yksikäsitteisesti ylimpien kolmen ruudun värien perusteella. Erityisesti, oikeanpuoleisen reunan ruutujen värit muodostavat ylhäältä alaspäin lueteltuina jonon 1, 3, 1, 3, 1, 3, 1, eli oikean alanurkan väriksi tulee välttämättä 1.
PULMA 3
Ongelma. Määritelkäämme jono a(1), a(2), ... positiivisia kokonaislukuja asettamalla
Olkoon lisäksi N luku 100...0, missä numero 0 esiintyy 10100 kertaa. Mikä on pienin positiivinen kokonaisluku n, jolle a(n)>N?
Ratkaisu. Voimme laskea jonon ensimmäisiksi arvoiksi
Nämä ovat selvästi pienempiä kuin N, sillä niissä on vähemmän numeroita kuin luvussa N. Viidennelle jonon jäsenelle voimme arvioida
Siten a(5) on myös pienempi kuin N. Lopuksi, kuudes jäsen osoittautuu riittävän isoksi, sillä
Siten kysytty pienin arvo on n=6.
PULMA 4
Ongelma. Olkoot a ja b kaksi suoraa avaruudessa niin, että ne eivät leikkaa eivätkä ole yhdensuuntaisia. Suoralta a on valittu peräkkäiset pisteet A(1), A(2), ..., A(2020) tasavälein niin, että A(1)A(2)=A(2)A(3)=...=A(2019)A(2020). Samoin on suoralta b valittu peräkkäiset pisteet B(1), B(2), ..., B(2020) niin, että B(1)B(2)=B(2)B(3)=...=B(2019)B(2020). Jos tetraedrin A(1)A(2)B(2019)B(2020) tilavuus on 1, niin mikä on tetraedrin A(1)A(2020)B(1)B(2020) tilavuus?
Ratkaisu. Tetraedreilla A(1)A(2)B(2019)B(2020) ja A(1)A(2020)B(2019)B(2020) on yhteisenä pohjana kolmio A(1)B(2019)B(2020), kun taas pisteen A(2020) etäisyys tasosta A(1)B(2019)B(2020) on 2019 kertaa pisteen A(2) etäisyys samasta tasosta. Siten tetraedrin A(1)A(2020)B(2019)B(2020) tilavuuden on oltava 2019 kertaa tetraedrin A(1)A(2)B(2019)B(2020) tilavuus, joka puolestaan oli 1. Siten tetraedrin A(1)A(2020)B(2019)B(2020) tilavuus on 2019.
Samassa hengessä voimme todeta, että tetraedreilla A(1)A(2020)B(2019)B(2020) ja A(1)A(2020)B(1)B(2020) on yhteinen kanta A(1)A(2020)B(2020), kun taas piste B(1) on 2019 kertaa niin kaukana tasosta A(1)A(2020)B(2020) kuin piste B(2019). Siten tetraedrin A(1)A(2020)B(1)B(2020) tilavuuden on oltava 2019 kertaa tetraedrin A(1)A(2020)B(2019)B(2020) tilavuus, mikä puolestaan oli 2019. Täten kysytty tetraedrin A(1)A(2020)B(1)B(2020) tilavuus on 2019^2.
SUDOKU
TEK 3/2020 -lehdessä julkaistujen Pulmien ja Sudokun ratkaisut:
Tehtävät laatineet: Anne-Maria Ernvall-Hytönen, Esa Vesalainen. Sudoku: Arto Inkala
PULMA 1
Ongelma. Kauniina keväisenä päivänä 2 020 pienen pientä lentävää hyönteistä löytävät tyhjän omenatynnyrin, jota ne päättävät tutkia tarkemmin. Tynnyri on suoran sylinterin muotoinen, sen korkeus on 120 cm ja sen pohjan säde on 40 cm. Osoita, että kun kaikki ovat tynnyrin sisällä, ainakin joidenkin kahden välinen etäisyys on pienempi kuin 10 cm.
Ratkaisu. Oletetaan, että keiden tahansa kahden etäisyys olisi aina vähintään 10 cm. Silloin voisimme laittaa jokaisen ympärille pallon, jonka säde on 5 cm, ja pallot olisivat joko erillisiä tai sivuaisivat toisiaan. Lisäksi pallot kaikki sisältyisivät suoraan sylinteriin, jonka säde on 45 cm ja korkeus 130 cm. Pallojen yhteenlaskettu tilavuus
ei siten voisi olla isompi kuin laajennetun sylinterin tilavuus, joka on
mikä antaakin toivotunlaisen ristiriidan.
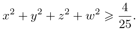
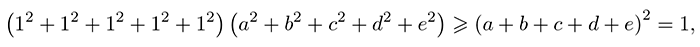
PULMA 2
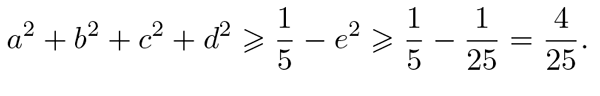
Ongelma. Liitutaululle kirjoitetaan viisi positiivista rationaalilukua a, b, c, d ja e, joille pätee a+b+c+d+e=1. Osoita, että taululta voi pyyhkiä pois yhden luvun niin, että jäljelle jääville neljälle luvulle x, y, z ja w pätee
Ratkaisu. Voimme symmetrian vuoksi olettaa, että vaikkapa
ja osoitamme, että riittää pyyhkiä taululta pois luku e. Toisaalta,
ja toisaalta Cauchyn-Schwarzin epäyhtälön nojalla
jolloin
PULMA 3
Ongelma. Kuinka moneen nollaan päättyy luku
Ratkaisu. Merkitkäämme lukua kirjaimella N. Se on selvästi jaollinen sekä kahdella että viidellä. Olkoot a ja b ne positiiviset kokonaisluvut, joille N on jaollinen luvuilla 2a ja 5b, mutta ei luvuilla 2(a+1) eikä 5(b+1). Silloin N päättyy a tai b nollaan sen mukaan, kumpi näistä on pienempi.
Laskekaamme b ensin tarkastelemalla tekijöitä kk, missä k on jokin luvuista 1, 2, ..., 100. Jos k on jaoton luvulla viisi, niin myös kk on. Viidellä jaollisista luvuista k, eli luvuista 5, 10, ..., 100 tulee lukuun N ainakin tekijät
Lisäksi luvulla 52=25 jaollisista luvuista k, eli luvuista 25, 50, 75 ja 100 tulee lisäksi tekijät
Koska mikään luvuista k ei voi olla jaollinen kuutiolla 53, koska 53=125>100, on tässä kaikki tekijät 5, mitä luvulla N voi olla. Täten b=1050+250=1300.
Luvun a laskeminen onnistuisi samalla tavalla, mutta olisi hieman mutkikkaampaa. Kaikeksi onneksi meidän riittää todeta vain, että parillisista arvoista 2, 4, 6, ..., 100 tulee ainakin tekijät
eli varmasti on a>=2550>1300=b, joten luku N päättyy täsmälleen 1300 nollaan.
PULMA 4
Ongelma. Colettella on kuusitoista tavallista kuution muotoista noppaa, joiden tahkoilla on siis silmäluvut 1, 2, 3, 4, 5 ja 6 niin, että kahden vastakkaisen tahkon silmälukujen summa on aina 7. Hän muodostaa nopistaan neliön, jossa kahdessa toisiaan koskettavassa tahkossa on aina samat silmäluvut. Jos kolmessa nurkkanopassa on kuvan mukaisesti ylimpänä silmäluvut 5, 1 ja 6, niin mitkä silmäluvut voivat esiintyä ylimpänä neljännessä nurkkanopassa?
Ratkaisu. Neljännessä nurkkanopassa on välttämättä silmäluku 2. Nimittäin, jokaisessa suorassa rivissä rivin suuntaisissa tahkoissa esiintyy ilmeisellä tavalla vain kahta vastakkaista silmälukua. Oikeassa alanurkassa olevassa nopassa etutahkossa on välttämättä oltava silmäluku 2 tai 5, ja oikeanpuoleisessa tahkossa silmäluku 3 tai 4. Oikeassa ylänurkassa olevassa nopassa on samoin etutahko 2 tai 5, mutta oikeanpuoleinen tahko on kääntäen 4 tai 3. Samassa hengessä vasemmassa alanurkassa olevassa nopassa oikeanpuoleinen tahko on 3 tai 4 niin kuin oikean alanurkan nopassa, mutta etutahkossa on 1 tai 6. Nyt kysymysmerkkinopassa on etutahkossa silmäluku 1 tai 6 niin kuin vasemman alanurkan nopassa, ja oikeassa tahkossa 4 tai 3 niin oikean ylänurkan nopassa. Vasemman ylänurkan nopassa on siten ylimpänä vastakkainen silmäluku kuin vasemman alanurkan nopassa, eli 2.
SUDOKU
TEK 2/2020 -lehdessä julkaistujen Pulmien ja Sudokun ratkaisut:
Tehtävät laatineet: Anne-Maria Ernvall-Hytönen, Esa Vesalainen. Sudoku: Arto Inkala
PULMA 1.
Ongelma: Pesukoneessa on kahdenlaisia paitoja: pilkullisia ja raidallisia. Raidallisia paitoja on 6. Lisäksi tiedetään, että todennäköisyys sille, että otat pesukoneesta umpimähkään peräkkäin pilkullisen ja raidallisen paidan, on 0,5. Toisin sanoen todennäköisyys sille, että nostat pesukoneesta joko ensin pilkullisen ja sitten raidallisen paidan tai ensin raidallisen ja sitten pilkullisen paidan, on 0,5. Kuinka monta pilkullista paitaa pesukoneessa on?
Ratkaisu. Olkoon pilkullisia paitoja r kappaletta. Silloin todennäköisyys poimia ensin pilkullinen paita on r/(6+r), ja todennäköisyys poimia sitten raidallinen paita, on 6/(5+r). Todennäköisyys, että poimimme ensin pilkullisen ja sitten raidallisen paidan, on siis 6r/((6+r)(5+r)). Todennäköisyys poimia ensin raidallinen paita ja sitten pilkullinen paita on samanlaisella laskulla niin ikään 6r/((6+r)(5+r)). Näiden summa 12r/((6+r)(5+r)) on siis 1/2, mistä saamme pienellä sievennyksellä yhtälön r2-13r+30=0, jonka ratkaisut ovat r=3 ja r=10. Pilkullisia paitoja on siis 3 tai 10 kappaletta, ja on suoraviivaista tarkistaa, että kumpikin arvo on mahdollinen.
PULMA 2
Ongelma: Eräänä kauniina aamuna Kameleonttisaarella asustaa 11 vihreää, 12 sinistä, 13 punaista, 14 keltaista, ja 15 violettia kameleonttia. Päivän aikana eriväristen kameleonttien lukumäärät muuttuvat ainoastaan seuraavalla tavalla: Jos neljä kameleonttia kohtaa, ja he toteavat, että ketkään kaksi heistä eivät ole samanvärisiä, niin he kaikki vaihtavat värikseen viidennen värin. Onko mahdollista, että illalla kaikki saaren kameleontit ovat samanvärisiä?
Ratkaisu. Osoittautuu, että kameleontit eivät voi olla illalla samanvärisiä. Nimittäin, tarkastellaan vihreiden kameleonttien lukumäärän V ja sinisten kameleonttien lukumäärän S erotusta V-S. Aamulla tämä erotus on siis 11-12=-1. Jokaisessa kameleonttien värimuutoksessa joko A) V ja S molemmat pienenevät yhdellä, jolloin V-S ei muutu, tai B) V kasvaa neljällä ja S pienenee yhdellä, jolloin V-S kasvaa viidellä, tai sitten C) V pienenee yhdellä ja S kasvaa neljällä, jolloin V-S pienenee viidellä. Jos kameleontit olisivat kaikki samanvärisiä päivän päätteeksi, niin V-S olisi päivän päätteeksi 65-0=65, 0-0=0 tai 0-65=-65, eli viidellä jaollinen, sillä onhan saarella 11+12+13+14+15=65 kameleonttia. Mutta erotuksen V-S jakojäännös viidellä jaettaessa ei muutu missään värimuutoksessa. Siten, koska V-S ei ole viidellä jaollinen aamulla, ei se voi olla viidellä jaollinen illallakaan.
PULMA 3
Ongelma: Suunnikkaan ABCD sivulta AD on valittu piste X ja sivulta BC piste Y. Janat AY ja BX leikkaavat pisteessä P, ja janat XC ja YD puolestaan pisteessä Q. Jos kolmion ABP ala on 5, ja kolmion QCD ala 3, niin mikä on nelikulmion PYQX ala?
Ratkaisu. Suunnikkaan ala on sen kannan ja korkeuden tulo. Kolmion ala taas on puolet kannan ja korkeuden tulosta. Siten kolmion BXC ala on puolet koko suunnikkaan alasta. Kolmioiden BAY ja YDC kantojen pituuksien summa on suunnikkaan kanta BC, joten näiden kolmioiden alojen summa on myös puolet koko suunnikkaan alasta. Näissä kahdessa yhtä suuressa alassa molemmissa esiintyi yhteisinä aloina kolmioiden BPY ja YQC alat. Siten täytyy itse asiassa olla niin, että nelikulmion XPYQ ala on yhtä suuri kuin kolmioiden ABP ja QCD alojen summa, joka on 5+3=8.
PULMA 4
Ongelma: Alla on kuva säännöllisestä 12-kulmiosta. Jos koko 12-kulmion ala on 1, niin mikä on varjostetun alueen ala?
Ratkaisu. Voimme jakaa varjostetun alueen kolmioiksi vaikkapa näin:
Toisaalta voimme jakaa 12-kulmiomme kolmioiksi näin:
Tässä kuviossa esiintyy viidenlaisia kolmioita, kutakin kaksi kappaletta. Varjostetussa alueessa esiintyy yksi kappale kutakin kolmiolajiketta. Siten varjostetun alueen ala on täsmälleen puolet koko 12-kulmion alasta, eli 1/2.
Saimme lukijaltamme myös vaihtoehtoisen ratkaisun, kiitos ratkaisun lähettämisestä! Vasemmassa yläkulmassa olevan tummennetun kolmion voi siirtää vasemman reunan tyhjään paikkaan, jolloin muodostuu kolmen kulmapisteen ylittävä yhtenäinen segementti. Tämä on täsmälleen se pala, joka puuttuu oikeasta reunasta. Yhdessä ne muodostavat siis puolet koko 12-kulmion alasta.
SUDOKU
TEK 1/2020 -lehdessä julkaistujen Pulmien ja Sudokun ratkaisut:
Tehtävät laatineet: Anne-Maria Ernvall-Hytönen, Esa Vesalainen. Sudoku: Arto Inkala
PULMA 1. Määritä pienin mahdollinen nelinumeroinen kokonaisluku xyzw, joka toteuttaa seuraavan ehdon: Sekä xyz että yzw ovat kolminumeroisia kokonaisluvun neliöitä.
Ratkaisu. Jotta luku xyzw on mahdollisimman pieni, tulee ensin minimoida luku xyz. Lisäksi, jotta luvut xyz ja yzw ovat kolminumeroisia, tulee sekä numeron x että numeron y olla nollasta poikkeava. Luetellaan kolminumeroisia sataa suurempia neliöitä suuruusjärjestyksessä:
121
144
169
196
225
256
…
Mikäli jokin näistä on xyz, nähdään luvusta suoraan numerot y ja z, jolloin luku yzw on lähes täysin määritelty. Ylläolevan listan nojalla 121 ei ole mahdollinen luvuksi xyz. Toisaalta xyzw=2256 on ehdot toteuttava valinta, mutta ei välttämättä pienin sellainen. Tarkistetaan nyt, onko mahdollista, että x=1, eli käydään läpi tapaukset 144,169 ja 196. Riittää siis selvittää sellaisten kolminumeroisten neliöiden olemassaolo, jotka alkavat 44, 69 tai 96. Koska 21*21=441, löytyy tällainen neliö. Pienin ehdon täyttävä luku on siis 1441.
PULMA 2.
Maijalla on neliön muotoinen pahvi, jonka jokaisen sivun pituus on 5. Hän haluaisi leikata sen viiteen osaan niin, että jokaisesta osasta voisi taitella pohjallisen mutta kannettoman kuution muotoisen laatikon, jonka särmän pituus on 1. Voisitko auttaa häntä pahvin leikkauksessa?
Ratkaisu. Maija voisi leikellä pahvin vaikkapa seuraavan kuvan mukaisesti, missä laatikoiden pohjat on merkitty rasteilla:
PULMA 3. Mikä luku on heti luvun 2020 alapuolella oheisessa lukukolmiossa?
Ratkaisu. Huomaamme, että jokaisella positiivisella kokonaisluvulla n on n. rivin viimeinen luku n2. Tämän voi todeta esimerkiksi taivuttamalla rivejä sopivasti:
Seuraavaksi voimme todeta, että 452=2025, joten luku 2020 on 45. rivin kuudenneksi viimeinen luku. Siten luvun 2020 alapuolella oleva naapuri on 46. rivin seitsemänneksi viimeinen luku, joka on 462-6=2110.
PULMA 4.
Puolisuunnikkaassa ABCD kantojen pituudet ovat a=AD ja b=BC, piste O on lävistäjien AC ja BD leikkauspiste, ja piste X sijaitsee sivulla AB ja piste Y sivulla CD niin, että XY on yhdensuuntainen kantojen kanssa ja kulkee pisteen O kautta. Kuinka pitkiä ovat janat XO ja OY?
Ratkaisu. Kuvio on itse asiassa varsin mielenkiintoinen: Osoittautuu nimittäin, että
Erityisesti, janan XY pituus on kantojen pituuksien a ja b harmoninen keskiarvo! Riittää, että todistamme vasemmanpuoleisen yhtäsuuruuden, koska silloin myös oikeanpuoleisen täytyy päteä, yksinkertaisesti tarkastelemalla puolisuunnikasta DCBA puolisuunnikkaan ABCD sijaan.
Koska kolmiot AXO ja ABC ovat yhdenmuotoiset, on oltava
Koska lisäksi kolmiot BXO ja BAD ovat yhdenmuotoisia, on oltava BX/BA=XO/AD, josta sijoittamalla edelliseen laskuun saadaan
mistä väite heti seuraakin ratkaisemalla XO.
SUDOKU
TEK 5/2019 -lehdessä julkaistujen Pulmien ja Sudokun ratkaisut:
Tehtävät laatineet: Anne-Maria Ernvall-Hytönen, Esa Vesalainen. Sudoku: Arto Inkala
PULMA 1.
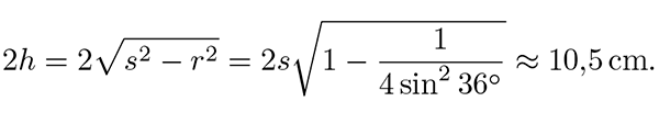
Ongelma. Anneli tekee joulukoristeen kartongista. Hän aloittaa leikkaamalla kartongista säännöllisen kuusikulmion muotoisen palan niin, että sivun pituus on 10 senttimetriä. Hän leikkaa siitä kuudesosan pois ja taittelee lopusta suoran kartion, jonka pohja on säännöllinen viisikulmio:
Sitten hän tekee toisen samanlaisen kartion ja liimaa molemmat toisiinsa viisikulmioita pitkin:
Kuinka paksu näin syntynyt joulukoriste on?
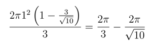
Ratkaisu. Tarkastellaan koristeen puolikasta, joka siis on kartio, jonka jokaisen särmän pituus s on 10 senttimetriä. Olkoon sen korkeus h ja olkoon sen pohjan kärjen etäisyys viisikulmion keskipisteestä r. Tarkastelemalla pohjana olevaa viisikulmiota voimme todeta, että pituuksien s/2 ja r osamäärä on 36 asteen kulman sini, mistä Pythagoraan lauseella seuraa, että koristeen paksuus on
PULMA 2.
Ongelma. Johannes tekee kartongista kuusen muotoisia joulukoristeita. Hän aloittaa tasasivuisesta kartonkikolmiosta, jonka sivun pituus on 10 senttimetriä, ja leikkelee sen reunaa saksillaan niin, että kaikki syntyvät kulmat ovat 60 ja 300 asteen kulmia, ja että kuusen korkeus on sama kuin alkuperäisen kolmion korkeus.
Lopuksi hän haluaisi ympäröidä koristeen ohuella kultanauhalla reunaa seuraten. Kuinka paljon nauhaa hän käyttää yhteen koristeeseen?
Ratkaisu. Ei ole vaikea muuttaa kuvio sen piiriä muuttamatta alkuperäiseksi tasasivuiseksi kolmioksi täydentämällä sitä sopivasti suunnikkailla:
Täten kuusikoristeen piiri on sama kuin alkuperäisen kartonkikolmion piiri, eli 30 senttimetriä, ja tämän verran kultanauhaakin kuluu.
PULMA 3.
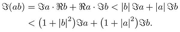
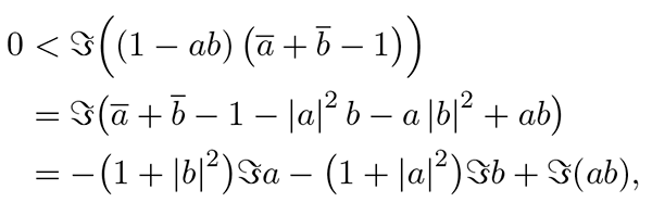
Ongelma. Onko mahdollista valita kolme kompleksilukua a, b ja c niin, että niiden imaginaariosat ovat aidosti positiivisia ja a+b+c = ab + bc + ca?
Ratkaisu. Osoittautuu, että tämä ei ole mahdollista. Tämän nähdäksemme olettakaamme, että kompleksiluvut a, b ja c olisivat halutunlaisia. Tällöin (a+b-1)c=a+b-ab. Koska lukujen a ja b imaginaariosat ovat positiivisia, myös summan a+b imaginaariosa on. Siten ei voi olla a+b=1, ja voimme päätellä, että on välttämättä oltava
Nyt viimeisen murtolausekkeen osoittajan imaginaariosa on samanmerkkinen kuin luvun c imaginaariosa, eli positiivinen. Siispä
mutta toisaalta voimme arvioida
Tämä on ristiriidassa edellisten arvioiden kanssa ja osoittaa, ettei halutunlaisia lukukolmikoita ole olemassa.
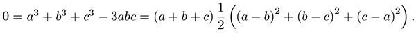
PULMA 4.
Ongelma. Olkoot a, b ja c reaalilukuja, joille
ja
a3 + b3 + c3 = 3abc.
Todista, että
a2019 + b2019 + c2019 = 3a673b673c673.
Ratkaisu. Tiedämme siis, että
Koska a+b+c ei häviä, on siis
(a – b)2 + (b – c)2 + (c – a)2 = 0.
Koska reaalilukujen neliöt ovat aina epänegatiivisia, käy näin vain ja ainoastaan silloin, kun a-b=b-c=c-a=0. Toisin sanoen, ongelman oletuksista seuraa, että a=b=c. Siispä
SUDOKU
TEK 4/2019 -lehdessä julkaistujen Pulmien ja Sudokun ratkaisut:
Tehtävät laatineet: Anne-Maria Ernvall-Hytönen, Esa Vesalainen. Sudoku: Arto Inkala
PULMA 1.
Ongelma. Olkoot a ja b positiivisia reaalilukuja. Osoita, että
Ratkaisu. Ottamalla logaritmit puolittain ja siirtämällä kaikki termit samalle puolelle todistettava epäyhtälö muuttuu muotoon
Tässä vasemman puolen voi kirjoittaa mukavasti kahden lausekkeen tulona, eli todistettava epäyhtälö onkin itse asiassa
Mikä varmasti pitääkin paikkaansa, sillä ovathan a ja b, ja toisaalta niiden logaritmit aina samassa suuruusjärjestyksessä.
Vaihtoehtoinen ratkaisu. TEK-lehden lukija Tuomo Lahdenperä esitti vaihtoehtoisen tavan ratkaista pulma. Kiitos Tuomolle ratkaisunsa jakamisesta!
Tarkastellaan lauseketta (aabb) / (abba)
Sijoitetaan b=a+c
(aabb) / (abba) = [aa (a+c)(a+c)]/[a(a+c)(a+c)a] = [aa(a+c)a(a+c)c]/[aaac(a+c)a] = [(a+c)c]/[ac]
- Jos b=a, aabb = abba
- Jos b>a eli c on positiivinen reaaliluku, [(a+c)c]/[ac] > 1 eli (aabb) / (abba) >1.
- Jos taas a<b eli c on negatiivinen, [(a+c)c]/[ac] = [a/c/]/[(a-|c|)/c/] > 1
PULMA 2.
Ongelma. Suorakulmion muotoinen lattia on peitetty 2 x 2 -laatoilla ja 1 x 4 -laatoilla. Varastossa on jäljellä vielä yksi 1 x 4 -laatta. Valitettavasti syystä tai toisesta yksi lattian 2 x 2 -laatta menee rikki. Osoita, että lattia ei ole korjattavissa varastossa olevalla varapalikalla, vaikka kuinka yritettäisiin uudelleenjärjestää.
Ratkaisu. Ajatellaan lattia ruudukkona ja väritetään täsmälleen ne ruudut mustiksi, joiden molemmat koordinaatit ovat parillisia. Nyt jokainen 2 x 2 -laatta peittää täsmälleen yhden mustan ja jokainen 1 x 4 -laatta kaksi mustaa tai ei yhtään mustaa ruutua. Siispä laattoja ei voi korvata toisillaan.
PULMA 3.
Ongelma. Olkoon N pariton positiivinen kokonaisluku. Kun x on reaaliluku, merkitsemme symbolilla [x] suurinta kokonaislukua, joka ei ole isompi kuin x. Mitkä ovat erotuksen
mahdolliset arvot?
Ratkaisu. Luonnollisesti kyseinen erotus on epänegatiivinen ja kahden kokonaisluvun erotuksena kokonaisluku. Jos tämä erotus on positiivinen, niin silloin olisi oltava olemassa kokonaisluku k niin, että
Mutta silloin myös
jolloin lukujen 8N, 8N-1, 8N-2 ja 8N-3 joukossa olisi oltava neliöluku. Osoitamme, ettei näin ole, jolloin siis erotuksen täytyy aina olla nolla. Luku 8N itse ei ole neliöluku, sillä se on jaollinen luvulla 8 mutta ei luvulla 16. Loput kolme lukua käsitellään jakojäännöstarkasteluilla.
On helppo tarkistaa, että neliöluvun jakojäännös kahdeksalla jaettaessa on aina 0, 1 tai 4. Luku 8N on kahdeksalla jaollinen. Kahdeksalla jaettaessa lukujen 8N-1, 8N-2 ja 8N-3 jakojäännökset ovat siis 7, 6 ja 5, tässä järjestyksessä. Siten mikään niistä ei voi olla neliöluku ja olemme valmiit. Erotuksen ainoa mahdollinen arvo on siis 0.
PULMA 4.
Ongelma. Etsi kaikki reaalilukunelikot (a,b,c,d), joille pätee
Ratkaisu. Havaitsemalla, että 35=23+33, voimme kirjoittaa yhtälön muodossa
Kuitenkin aritmeettis-geometrisen epäyhtälön nojalla kumpikin sulkeissa olevista lausekkeista on vähintään nolla, jolloin molempien on oltava nolla, kun kerran niiden summakin on, ja lisäksi sulkeissa olevat lausekkeet ovat nollia vain ja ainoastaan silloin, kun a2=c2=2 ja b2=d2=3. Siispä yhtälön toteuttavat ainoastaan reaalilukunelikot
missä etumerkit voi valita toisistaan riippumattomasti.
SUDOKU
TEK 3/2019 -lehdessä julkaistujen Pulmien ja Sudokun ratkaisut:
Tehtävät laatineet: Anne-Maria Ernvall-Hytönen, Esa Vesalainen. Sudoku: Arto Inkala
PULMA 1.
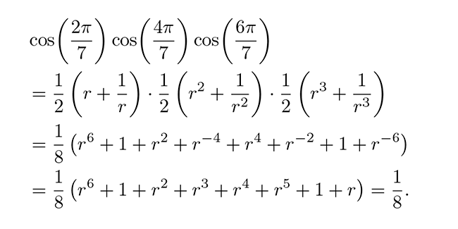
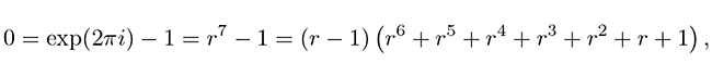
Ongelma. Mitä on
Ratkaisu. Tämän voi ratkaista luontevasti kompleksiluvuilla. Kun merkitään r = exp(2*pi*i/7), on
ja koska toiseksi viimeinen tekijä ei voi hävitä, on viimeisen tekijän oltava nolla. Koska tunnetusti cos(x) = (exp(ix)+exp(-ix))/2, kaikilla reaaliluvuilla x, voimme laskea
PULMA 2.
Ongelma. Olkoon ABCDE jokin viisikulmio, ja olkoot P, Q, R, S ja T nelikulmioiden ABCD, ABCE, ABDE, ACDE ja BCDE painopisteet. Osoita, että viisikulmiot PQRST ja ABCDE ovat yhdenmuotoisia.
Ratkaisu. Tämä onnistuu näppärästi vektoreilla. Olkoon alkuperäisen viisikulmion painopiste G=(A+B+C+D+E)/5. Nyt piste P on P=(A+B+C+D)/4=5G/4-E/4. Samoin Q=5G/4-D/4, R=5G/4-C/4, S=5G/4-B/4 ja T=5G/4-A/4. Lisäksi viisikulmion PQRST painopiste on G'=(P+Q+R+S+T)/5=G, eli sama kuin alkuperäisen. Siispä viisikulmio PQRST on saatu viisikulmiosta ABCDE peilaamalla pisteen suhteen, kutistamalla sen kaikkia mittoja neljäsosaan ja siirtämällä sitä niin,
että sillä on sama painopiste. Siten näiden viisikulmioiden on myös oltava yhdenmuotoisia keskenään.
PULMA 3.
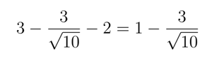
Ongelma. Tasossa on 120 eri suoraa, joista mitkään kolme eivät leikkaa toisiaan samassa pisteessä. Onko mahdollista, että suorilla on täsmälleen 2019 leikkauspistettä?
Ratkaisu. Jos meillä on a keskenään yhdensuuntaista suoraa, ja b erisuuntaista mutta keskenään yhdensuuntaista suoraa, niin leikkauspisteitä on ab kappaletta. Valitettavasti ei ole positiivisia kokonaislukuja a ja b, joille a+b=120 ja ab=2019. Jos lisäämme tilanteeseen vielä yhden suoran, joka kulkee kolmanteen suuntaan, kulkematta kuitenkaan minkään aikaisemman leikkauspisteen kautta, niin silloin leikkauspisteitä onkin ab+a+b kappaletta. Yhtälön ab+a+b=2019 voi kirjoittaa muodossa (a+1)(b +1)=2020. Koska 2020 on lukujen 101 ja 20 tulo, voimme valita a=19 ja b=100, ja saada ab+a+b=2019 leikkauspistettä a+b+1=120 suoralla.
PULMA 4.
Ongelma. Mikä on luvun 20192019 numeroiden summan numeroiden summan numeroiden summa?
Ratkaisu. Luku 20192019 on pienempi kuin vaikkapa 100002019, eli sillä on vähemmän numeroita kuin jälkimmäisellä luvulla, eli enintään 4*2019 numeroa. Siispä luvun 20192019 numeroiden summa on enintään 9*4*2019. Tämän viimeksi mainitun luvun numeroiden määrä on enintään viisi, ja siten sen numeroiden summa puolestaan on enintään 9*5=45. Eli luvun 20192019 numeroiden summan numeroiden summassa on enintään kaksi numeroa, jotka eivät molemmat voi olla numeroita 9, eli sen numeroiden summa on pienempi kuin 2*9=18. Toisaalta se on suurempi
kuin 0. Lisäksi luku 20192019 on jaollinen luvulla 9, eli sen numeroiden summan numeroiden summan numeroiden summan on myös oltava jaollinen luvulla 9. Jäljelle ei jää muuta vaihtoehtoa kuin, että luvun 20192019 numeroiden summan numeroiden summan numeroiden summan on välttämättä oltava 9.
SUDOKU
TEK 2/2019 -lehdessä julkaistujen Pulmien ja Sudokun ratkaisut:
Tehtävät laatineet: Anne-Maria Ernvall-Hytönen, Esa Vesalainen. Sudoku: Arto Inkala
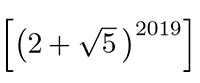
PULMA 1.
Ongelma. Kun x on reaaliluku, tarkoittaa [x] suurinta kokonaislukua n, joka ei ole suurempi kuin x. Esimerkiksi, [4,2]=4, [3,14159265...]=3 ja [8]=8. Todista, että luku
ei ole alkuluku.
Ratkaisu. Merkitään A=(2+sqrt(5))2019, B=(2-sqrt(5))2019, ja C=A+B. Binomikaavalla näemme, että
Kun 2019-k on pariton, eli kun k on parillinen, kumoavat vastaavat termit toisensa. Muussa tapauksessa vastaavat termit ovat yhtä suuret. Siten jäljelle jäävät vain parittomia indeksin k arvoja vastaavat termit, joita jokaista esiintyy täsmälleen kaksi kappaletta, eli
Siten C on kokonaisluku ja aivan erityisesti parillinen kokonaisluku. Lisäksi, koska summan termit ovat positiivisia, ja termejä on enemmän kuin yksi, on C>2. Mutta tiedämme myös, että -1<2-\sqrt(5)<0, mistä seuraa myös, että -1<B<0. Koska lisäksi C<C+(-B)=A=C+(-B)<C+1, on oltava [A]=C. Siten [A] on parillinen positiivinen kokonaisluku, joka on suurempi kuin 2, ja siten se ei voi olla alkuluku.
PULMA 2.
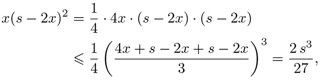
Ongelma. Ohut metallilevy on neliön muotoinen, ja sen sivun pituus on s. Sen jokaisesta nurkasta leikataan pois neliö, jonka sivun pituus on x, missä x<s/2, ja sitten reunat taitetaan pystyyn niin, että saadaan (kanneton) suorakulmaisen särmiön muotoinen laatikko, jonka pohja on neliö. Miten x pitää valita, jotta laatikon tilavuus olisi mahdollisimman suuri?
Ratkaisu. Laatikon pohjan sivun pituus on s-2x ja ala siten (s-2x)2. Laatikon korkeus on luonnollisesti x. Siispä laatikon tilavuus on x(s-2x)2. Kolmen muuttujan aritmeettis-geometrisen epäyhtälön nojalla
ja yhtäsuuruus vallitsee tässä täsmälleen silloin, kun 4x=s-2x=s-2x, eli täsmälleen silloin, kun x=s/6.
Tehtävän voi ratkaista myös derivoimalla.
PULMA 3.
Ongelma. Kuinka monella tavalla voi asettaa riviin viisi sinistä, kymmenen vihreää ja seitsemän punaista palloa, kun tietyn väriset pallot ovat keskenään samanlaisia ja vaaditaan, että kahta punaista palloa ei saa asettaa vierekkäin?
Ratkaisu. Merkitään binomikerrointa "n yli k" C(n,k). Vihreät ja siniset pallot voi asettaa riviin C(15,5) eri tavalla. Nyt punaisen pallon voi asettaa joko jonon jompaan kumpaan päätyyn tai kahden jonossa olevan vihreän tai sinisen pallon väliin. Näin jokaisen punaisen pallon voi laittaa johonkin kuudestatoista eri kohdasta, ja yhteen kohtaan voi laittaa enintään yhden punaisen pallon. Siispä punaiset pallot voi lisätä sinisten ja vihreiden pallojen jonoon C(16,7) eri tavalla. Siten eri tapoja asettaa pallot riviin on C(15,5)*C(16,7)=3003*11440=34354320.
PULMA 4.
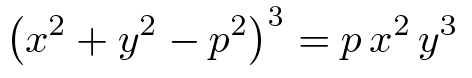
Ongelma. Ystävänpäivänä yksinäinen lukuteoreetikko valitsee alkuluvun p ja piirtää yhtälön
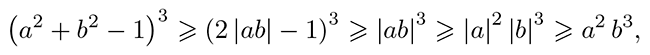
mukaisen sydänkäyrän. Hän havaitsee, että käyrällä on ilmeiset kokonaislukupisteet (0,p), (0,-p), (p,0), (-p,0), (p,p) ja (-p,p). Tämä luonnollisesti saa hänet ihmettelemään onko käyrällä muita kokonaislukukoordinaattisia pisteitä. Voitko auttaa häntä?
Ratkaisu. Muita kokonaislukukoordinaattisia pisteitä ei ole. Tämän osoittamiseksi tarkastelemme jotakin kokonaislukukoordinaattista pistettä (x,y). Koska p jakaa yhtälön oikean puolen, sen on jaettava myös vasen puoli. Erityisesti, alkuluvun p on jaettava myös vasemman puolen kuutioitava lauseke x2+y2-p2. Nyt alkuluvun p kuutio jakaa vasemman puolen, eli sen on jaettava myös oikea puoli, mistä seuraa, että p2 jakaa tulon x2*y3. Erityisesti alkuluvun p on jaettava ainakin toinen luvuista x ja y. Jos p jakaa luvun x, niin, koska p jakaa summan x2+y2-p2, on sen jaettava myös luku y. Samoin, jos p jakaa luvun y, niin sen on jaettava myös luku x. Siis varmasti molemmat luvuista x ja y ovat alkuluvulla p jaollisia.
Valitaan nyt uudet muuttujat a=x/p ja b=y/p, jotka toteuttavat yhtälön (a2+b2-1)3=a2*b3. Jos x=0, niin on helppo nähdä, että on oltava y=p tai y=-p. Samoin, jos y=0, niin on helppo tarkistaa, että on oltava x=p tai x=-p. Oletetaan siis, että x ja y ovat molemmat nollasta poikkeavia, jolloin myös a ja b ovat nollasta poikkeavia. Silloin luku a2+b2 on varmasti vähintään 2|ab| ja samoin |ab| vähintään 1, ja voimme arvioida
missä yhtäsuuruudet voivat vallita vain ja ainoastaan silloin, kun |a|=1 ja b=1. Eli alkuperäiset x ja y ovat silloin (x,y)=(p,p) tai (x,y)=(-p,p).
SUDOKU
TEK 1/2019 -lehdessä julkaistujen Pulmien ja Sudokun ratkaisut:
Tehtävät laatineet: Anne-Maria Ernvall-Hytönen, Esa Vesalainen. Sudoku: Arto Inkala
PULMA 1.
Ongelma. Olkoon n positiivinen kokonaisluku. Laske
Ratkaisu. Merkitkäämme binomikerrointa n yli k symbolilla binom(n,k). Tarkastellaan 2n henkilön luokkaa, jossa on n tyttöä ja n poikaa, ja pohditaan, kuinka monella eri tavalla heistä voi kasata n henkilön komitean. Jos komiteaan valitaan k tyttöä, niin tytöt voi valita binom(n,k) eri tavalla ja pojat binom(n,n-k) eri tavalla, jolloin komitean voi valita
eri tavalla. Toisaalta, 2n henkilöstä voi valita n henkilön komitean täsmälleen binom(2n,n) eri tavalla.
PULMA 2.
Ongelma. Tarkastellaan kasvavaa jonoa 1, 3, 3, 3, 5, 5, 5, 5, 5, 7, 7, 7, 7, 7, 7, 7, ... missä jokainen pariton positiivinen kokonaisluku k esiintyy täsmälleen k kertaa. Kun N on positiivinen kokonaisluku, niin mikä on jonon N. jäsen?
Ratkaisu. Olkoon a epänegatiivinen kokonaisluku. Enintään luvun 2a-1 suuruisia lukuja on jonossa täsmälleen a2 kappaletta.
Siten luku 2a+1 esiintyy jonossa täsmälleen sijoilla a2+1, a2+2, ..., a2+(2a+1)=(a+1)2. Siispä jonon N. jäsen on 2a+1 täsmälleen silloin kun a2<N<=(a+1)2 eli täsmälleen silloin kun a<sqrt(N)<=a+1. Siten jonon N. jäsen on 2*ceil(sqrt(N))-1, missä ceil(x) merkitsee kattofunktiota eli pienintä kokonaislukua m, jolle x<=m, ja sqrt merkitsee neliöjuurta.
PULMA 3.
Ongelma. Tasasivuisen kolmion sivun pituus on 7, ja sen sisältä on valittu 13 pistettä. Osoita, että näistä pisteistä jotkin kaksi ovat enintään etäisyydellä 2 toisistaan.
Ratkaisu. Voimme peittää kolmion säännöllisillä kuusikulmioilla, joista jokaisen sivun pituus on 1, ja tällaisten kuusikulmioiden osilla, siten, että kolmion ala jakautuu vain 12 alueeseen:
Nyt jollakin alueella, alueen reuna mukaan lukien, on oltava ainakin kaksi valittua pistettä, jolloin niiden välinen etäisyys on selvästi enintään 2.
PULMA 4.
Ongelma. Tason jokainen piste on väritetty punaiseksi tai siniseksi. Osoita, että ainakin toisella värillä on väritetty sellainen pistejoukko, jonka pisteiden väliset etäisyydet saavat kaikki mahdolliset positiiviset reaaliarvot.
Ratkaisu. Tehdään vastaoletus: tasossa ei ole punaisia pisteitä, joiden etäisyys on a, eikä sinisiä pisteitä, joiden etäisyys on b. Yleisyyttä menettämättä voidaan olettaa, että b>a. Otetaan tasosta sininen piste, ja piirretään sitä keskipisteenä käyttäen b-säteinen ympyrä. Ympyrän kaaren pisteiden on oltava punaisia. Koska a<b, on ympyrän kaarella pisteet, joiden etäisyys on a. Ristiriita.
SUDOKU
TEK 5/2018 -lehdessä julkaistujen Pulmien ja Sudokun ratkaisut:
Tehtävät laatineet: Anne-Maria Ernvall-Hytönen, Esa Vesalainen. Sudoku: Arto Inkala
PULMA 1.
Ongelma. Tasossa on annettu kaksi eri pistettä A ja D sekä kaksi niiden kautta kulkematonta suoraa l ja m niin, että ne ovat kohtisuorassa, ja pisteet A ja D ovat samalla puolella molempia suorista l ja m. Miten suoralta l pitäisi valita piste B ja suoralta m piste C, jos haluttaisiin murtoviivan ABCD olevan mahdollisimman lyhyt?
Ratkaisu. Olkoon piste B suoralla l ja olkoon piste C suoralla m. Peilataan piste D suoran m suhteen pisteeksi D'. Nyt CD=CD'.
Peilataan lisäksi piste C suoran l suhteen pisteeksi C', ja samoin piste D' suoran l suhteen pisteeksi D'', jolloin CD'=C'D'' ja BC=BC'. Erityisesti siis AB+BC+CD=AB+BC'+C'D''.
Tämä jälkimmäinen summa on varmasti vähintään AD'', ja toisaalta tämä pituus saavutetaan valitsemalla pisteeksi B janan AD'' ja suoran l leikkauspiste, ja pisteeksi C janan BD' ja suoran m leikkauspiste.
PULMA 2.
Ongelma. 2018 kilpailijaa osallistuu turnaukseen, joka koostuu useista kierroksista. Jos kierroksen alkaessa jäljellä on parillisen monta osallistujaa, heidät jaetaan pareiksi, ja jokainen pari pelaa keskenään ottelun. Hävinnyt pelaaja putoaa ulos kilpailusta ja voittaja jatkaa seuraavalle kierrokselle. Jos kierroksen alkaessa jäljellä on parittoman monta osallistujaa, yksi heistä saa pitää vapaakierroksen, ja hän pääsee automaattisesti seuraavalle kierrokselle. Kierroksia jatketaan, kunnes jäljellä on enää yksi pelaaja. Kuinka monta ottelua turnauksessa pelataan? Kuinka monta ottelua pelataan, jos osallistujia on vaikkapa 102018?
Ratkaisu. Osallistukoot tapahtumaan N kilpailijaa. Kilpailun päättyessä jäljellä on vain 1 kilpailija, eli muut N-1 kilpailijaa ovat pudonneet pois. Jokainen pois pudonnut kilpailija on hävinnyt täsmälleen yhden ottelun, ja jokaisella ottelulla on ollut täsmälleen yksi häviäjä. Siten otteluita pelataan N-1 kappaletta.
PULMA 3.
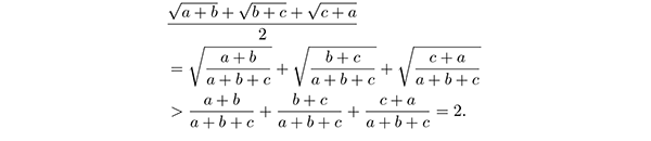
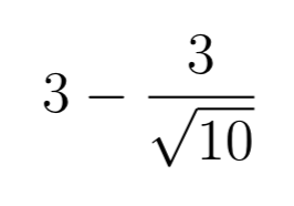
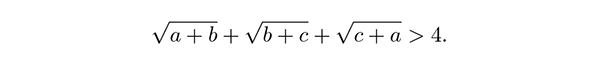
Ongelma. Olkoot a, b ja c positiivisia reaalilukuja, joiden summa on 4. Osoita, että
Ratkaisu. Koska a+b+c=4, ja koska luvun x neliöjuuri on suurempi kuin x kaikilla reaaliluvuilla x, joille 0<x<1, voimme arvioida
PULMA 4.
Ongelma. Nelinumeroisella positiivisella kokonaisluvulla on sellainen ominaisuus, että kun sen kertoo neljällä, sen numeroiden järjestys vaihtuu päinvastaiseen järjestykseen. Mikä luku onkaan kyseessä?
Ratkaisu. Olkoon luvun desimaaliesitys abcd. Tiedämme siis, että 4*abcd=dcba. Koska 4*3000=12000 on jo viisinumeroinen, on oltava a=1 tai a=2. Lisäksi, koska dcba on neljällä jaollisena parillinen, voi siis olla vain a=2. Koska nyt dcb2=4*2bcd>8000, on oltava d=8 tai d=9. Koska lisäksi tulo 4*d päättyy numeroon 2, on oltava d=8. Nyt siis 4*2bc8=8cb2, eli 8000+400*b+40*c+32=8000+100*c+10*b+2, eli 390*b+30=60*c, eli 13*b+1=2*c. Koska 2*c on parillinen, on numeron b oltava pariton. Lisäksi, 2*c<19, joten 13*b<18, ja voi olla vain b=1. Lopuksi, 2*c=13*1+1=14, eli on oltava c=7. Täten ainoa mahdollinen luku on 2178. Tällä tosiaan on haluttu erityisominaisuus, sillä 4*2178=8712.
SUDOKU
TEK 4/2018 -lehdessä julkaistujen Pulmien ja Sudokun ratkaisut:
Tehtävät laatineet: Anne-Maria Ernvall-Hytönen, Esa Vesalainen. Sudoku: Arto Inkala
PULMA 1.
Ongelma. Asukokonaisuus koostuu housuista, paidasta ja hatusta. Kuinka monta vaatekappaletta pitää vähintään hankkia, jos halutaan varmistaa, että vuoden jokaisena päivänä, eli 365 päivänä on päällä erilainen asukokonaisuus?
Ratkaisu. Mikäli housujen määrä on a, paitojen b ja hattujen c, vaaditaan, että abc on vähintään 365. Aritmeettis-geometrinen epäyhtälö kertoo, että lukujen aritmeettinen keskiarvo on vähintään yhtä suuri kuin geometrinen keskiarvo, eli (a+b+c)/3>=(abc)(1/3). Kysytty vaatekappaleiden määrä on a+b+c, jonka on siis oltava vähintään 3*365(1/3), eli vähintään 22. Valitsemalla 8 housut, 7 paitaa ja 7 hattua saadaan 7*7*8=392 erilaista asukokonaisuutta.
PULMA 2.
Ongelma. Olkoot a, b ja c kokonaislukuja. Osoita, että luku abc (a3 - b3 ) (b3 - c3 ) (c3 - a3 ) on aina jaollinen seitsemällä.
Ratkaisu. Jos jokin luvuista a, b ja c on jaollinen seitsemällä, niin tietenkin koko lausekekin on. Jos taas mikään luvuista a, b ja c ei ole jaollinen seitsemällä, niin on helppo tarkistaa, että kuutioista a3, b3 ja c3 jokaisen jakojäännös on joko 1 tai 6 seitsemällä jaettaessa. Erityisesti, joillakin kahdella niistä on sama jakojäännös, ja siten kyseisten kahden kuution erotus on jaollinen seitsemällä.
PULMA 3.
Ongelma. Olkoon avaruudessa annettu kaksi suoraa s ja t niin, että ne eivät leikkaa eivätkä sijaitse samassa tasossa. Suoralta s valitaan kaksi eri pistettä A ja B, ja suoralta t kaksi eri pistettä C ja D. Mitä tapahtuu tetraedrin ABCD tilavuudelle, kun janoja AB ja CD siirretään suoriaan pitkin (kuitenkin niin, että janojen pituudet eivät muutu)?
Ratkaisu. Osoittautuu, että tetraedrin tilavuus ei muutu. Tämän nähdäksemme riittää tarkastella, mitä tilavuudelle tapahtuu, kun jana CD pidetään paikoillaan, ja jana AB liikkuu suoraa s pitkin. Olkoon T se taso, joka sisältää suoran s ja pisteen C. Kun jana AB liikkuu suoraa s pitkin, sisältyy kolmio ABC aina tasoon T. Lisäksi kolmion ABC ala ei muutu, sillä sen kannan AB pituus ei muutu, ja sen korkeus ei muutu, sillä se on vain pisteen C etäisyys suorasta s. Mutta samassa hengessä tetraedrin kannan ABC ala ei muutu, ja koska sen korkeus on vain pisteen D etäisyys tasosta T, ei sen korkeuskaan muutu, eli tetraedrin tilavuuskaan ei muutu.
PULMA 4.
Ongelma. Olkoon n positiivinen kokonaisluku. Onko olemassa reaaliset n X n -matriisit A ja B niin, että
Ratkaisu. Tällaisia matriiseita ei ole. Nimittäin, toivotun identiteetin oikealla puolella olevan matriisin lävistäjälementtien summa on n, kun taas ei ole vaikea laskea, että vasemmalla puolella olevan lausekkeen lävistäjäelementtien summa on 0, johtuen siitä, että tuloilla AB ja BA on yhtä suuret lävistäjäelementtien summat, jotka kumoutuvat erotuksessa AB-BA.
SUDOKU
TEK 3/2018 -lehdessä julkaistujen Pulmien ja Sudokun ratkaisut:
Tehtävät laatineet: Anne-Maria Ernvall-Hytönen, Esa Vesalainen. Sudoku: Arto Inkala
PULMA 1.
Ongelma. Rakennuksen edessä on vierekkäin 20 parkkipaikan jono. Kuinka monella eri tavalla seitsemän autoa voi parkkeerata niihin, jos kuitenkin halutaan, että jokaisen auton kummallekin puolelle jää tyhjä paikka?
Vastaus. Parkkeerauksen voi tehdä 17 297 280 eri tavalla.
Ratkaisu. Aloitetaan tarkastelemalla lopulta tyhjiksi jäävien 13 paikan jonoa. Nyt seitsemän autoa voi laittaa näiden ympärille syntyvään 14 eri paikkaan. Siten seitsemän auton parkkiruudut voi valita binomikertoimen 14 yli 7 antamalla eri tavalla, eli 3 432 eri tavalla. Autojen järjestyksen ruuduissa voi valita 7! eri tavalla, eli 5 040 eri tavalla. Kaiken kaikkiaan parkkeerauksen voi siis tehdä 3 432 * 5 040 = 17 297 280 eri tavalla.
PULMA 2.
Ongelma. Osoita, että lukujonosta 2018, 20182018, 201820182018, ... löytyy luku, joka on jaollinen luvulla 2017.
Ratkaisu. Koska jonossa on äärettömän monta lukua, mutta mahdollisia jakojäännöksiä luvulla 2017 jaettaessa on vain äärellinen määrä (eli 2017 erilaista), on joillakin kahdella eri jonon luvulla oltava sama jakojäännös luvulla 2017 jaettaessa. Olkoot näitä vaikkapa luku, jossa 2018 esiintyy a kertaa, ja luku, jossa 2018 esiintyy b kertaa, missä a<b. Tällöin niiden erotus on jaollinen luvulla 2017. Mutta niiden erotus on 20182018...2018000...0, missä luku 2018 esiintyy ensin b-a kertaa, ja sen jälkeen esiintyy 4a nollaa. Koska luku 2017 on yhteistekijätön potenssin 10(4a) kanssa, on nyt myös luvun 20182018...2018, missä 2018 esiintyy b-a kertaa, oltava jaollinen luvulla 2017 ja olemme valmiit.
PULMA 3.
Ongelma. Ympyrästä, jonka säde on 18, lohkaistaan sektori, jonka keskuskulma on 60 astetta. Sektorin sisälle piirretään ympyrä, joka sivuaa sektorin reunoja. Mikä on varjostetun alueen ala?
Vastaus. Varjostetun alueen ala on 15*pi-18*sqrt(3).
Ratkaisu. Olkoon pienen ympyrän säde r, ja olkoon l etäisyys ison ympyrän keskipisteen ja sivuamispisteen välillä, kuten seuraavassa kuvassa, ja olkoon d ison ympyrän ja pienen ympyrän keskipisteiden välinen etäisyys:
Koska d, l ja r ovat suorakulmaisen kolmion sivut, ja koska kyseessä on muistikolmio, on l=r*sqrt(3) ja d=2r. Nyt 18=d+r=3r, ja on oltava r=6 ja l=6*sqrt(3).
Koko sektorin ala on kuudesosa ison ympyrän alasta, eli pi*182/6=54*pi. Kuvioon syntyvän nelikulmion ala on 2*.5*l*r=l*r=36*sqrt(3). Pienen ympyrän nelikulmion ulkopuolelle jäävä ala on 2/3 koko pienen ympyrän alasta, eli (2/3)*pi*r2=24*pi.
Lopuksi varjostetun alueen ala on puolet siitä, mitä saadaan kun koko sektorista vähennetään kaksi viimeksi laskettua alaa, eli kysytty ala on (54*pi-36*sqrt(3)-24*pi)/2=15*pi-18*sqrt(3).
PULMA 4.
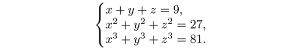
Ongelma. Etsi kaikki reaalilukuratkaisut yhtälöryhmälle:
Vastaus. Ainoa ratkaisu on x=y=z=3.
Ratkaisu. Voimme laskea, että 2(xy+yz+zx)=(x+y+z)2-(x2+y2+z2)=54, eli xy+yz+zx=27. Samassa hengessä voimme laskea, että x3+y3+z3=3xyz+(x+y+z)(x2+y2+z2-(xy+yz+zx)), mistä saamme, että 3xyz=81-9*(27-27)=81, eli xyz=27. Luvut x, y ja z ovat täsmälleen yhtälön (t-x)(t-y)(t-z)=0 reaaliset ratkaisut t. Mutta tämän yhtälön voi kirjoittaa auki muodossa t3-(x+y+z)t2+(xy+yz+zx)t-xyz=0, minkä kertoimet jo tunnemmekin, ja yhtälö sievenee muotoon t3-9t2+27t-27=0. Mutta tämän viimeisen yhtälön voi vielä kerran sieventää muotoon (t-3)3=0. Siispä mikään luvuista x, y ja z ei voi olla muuta kuin 3. Toisaalta, on helppo tarkistaa, että x=y=z=3 on tosiaan yhtälöryhmän ratkaisu.
Vaihtoehtoinen lähestymistapa. Itse asiassa jo ensimmäisen ja toisen asteen yhtälöt kiinnittävät tuntemattomien arvot. Esimerkiksi, kolmioepäyhtälön ja aritmeettis-kvadraattisen epäyhtälön (tai vaikkapa Cauchyn--Schwarzin epäyhtälön) nojalla, on oltava 3=(x+y+z)/3<=(|x|+|y|+|z|)/3<=sqrt((x2+y2+z2)/3)=3, joten itse asiassa nämä epäyhtälöt ovatkin yhtäsuuruuksia. Koska edellinen epäyhtälö on yhtäsuuruus, ovat x, y ja z epänegatiivisia, ja koska toinen epäyhtälö on yhtäsuuruus, on oltava x=y=z, minkä jälkeen loppu on suoraviivaista. Geometrisesti kyse ensimmäisen ja toisen asteen yhtälöiden riittävyydessä on siinä, että toisen asteen yhtälö määrää pallonkuoren, ja ensimmäisen asteen yhtälö sille tangenttitason sivuamispisteellä (3,3,3).
SUDOKU
TEK 2/2018 -lehdessä julkaistujen Pulmien ja Sudokun ratkaisut:
Tehtävät laatineet: Anne-Maria Ernvall-Hytönen, Esa Vesalainen. Sudoku: Arto Inkala
PULMA 1.
Ongelma. Kirsillä ja Tuomolla on 2018 tikkua kasassa. He pelaavat peliä, jossa he kukin vuorollaan ottavat kasasta yksi, kaksi tai kolme tikkua harkintansa mukaan. Kirsi ottaa tikkuja ensimmäisenä, ja se voittaa, joka ottaa kasasta viimeisen tikun. Onko Kirsillä tai Tuomolla voittostrategiaa?
Vastaus. Ensimmäisenä pelaavalla Kirsillä on voittostrategia.
Ratkaisu. Kirsi voi ottaa ensimmäisellä siirrollaan kaksi tikkua, jolloin Tuomolle jäävässä tikkukasassa on 2016 tikkua, eli neljällä jaollinen määrä. Jos kasassa on Tuomon vuorolla neljällä jaollinen määrä tikkuja, ja hän poistaa yhden, niin Kirsi voi vuorollaan poistaa kolme, jolloin Tuomo taas saa eteensä neljällä jaollisen määrän tikkuja. Samoin, jos Tuomo poistaa kaksi, niin Kirsi voi myös poistaa kaksi, ja jos Tuomo poistaa kolme, niin Kirsi voi poistaa yhden. Täten Kirsi voi aina pitää huolen siitä, että hänen siirtonsa jälkeen kasassa on neljällä jaollinen määrä tikkuja, kun taas Tuomon siirron jälkeen siinä on neljällä jaoton määrä tikkuja. Koska tikkujen lukumäärä pienenee joka siirrolla, lopulta se laskee nollaan jollakin Kirsin vuorolla, jolloin hän voittaa.
PULMA 2.
Ongelma. Ruudukossa on m riviä ja n saraketta. Kuinka monella eri tavalla voi kirjoittaa jokaiseen ruudukon ruutuun toisen luvuista +1 ja -1, kun vaaditaan, että lopullisessa taulukossa jokaisella rivillä olevien lukujen tulo on -1, ja että jokaisesta sarakkeesta löytyvien lukujen tulo on -1?
Vastaus. Jos m ja n ovat molemmat parillisia tai molemmat parittomia, niin vastaus on 2((m-1)*(n-1)). Jos taas luvuista m ja n toinen on parillinen ja toinen pariton, niin vastaus on 0.
Ratkaisu. Jos m ja n ovat eri parillisuutta, niin lukuja ei voi asetella halutulla tavalla. Nimittäin, jos luvut voi asetella taulukkoon, laskemalla riveillä olevien lukujen tulot keskenään saadaan (-1)m, kun taas laskemalla sarakkeissa olevien lukujen tulot keskenään saadaan (-1)n. Koska molemmat tulot ovat yhtä suuria kuin taulukon kaikkien lukujen tulo, on oltava (-1)m=(-1)n, eli eksponenttien m ja n on oltava samaa parillisuutta. Oletetaan siis, että näin on.
Asetellaan ruudukkoon lukuja +1 ja -1 mielivaltaisella tavalla, kuitenkin niin, että oikeanpuoleisin sarake ja alin rivi jätetään tyhjiksi. Täytämme siis (m-1)(n-1) ruutua, ja valinnan voi tehdä 2((m-1)(n-1)) eri tavalla. Nyt, alinta riviä lukuun ottamatta, jokaisen rivin viimeinen luku voidaan valita täsmälleen yhdellä tavalla niin, että sen rivin lukujen tulo on -1. Samoin jokaisen sarakkeen, viimeistä lukuun ottamatta, alin luku voidaan valita niin, että sen sarakkeen lukujen tulo on -1. Riittää enää täyttää oikeassa alanurkassa oleva ruutu. Olkoon A aluksi taulukkoon asetettujen (m-1)(n-1) luvun tulo, B alimmalla rivillä olevien n-1 luvun tulo, ja C oikeanpuoleisimman sarakkeen m-1 luvun tulo. Sen perusteella, miten alinta riviä ja oikeanpuoleisinta saraketta on täytetty, on AB=(-1)(n-1) ja AC=(-1)(m-1). Erityisesti siis BC=AB*AC=(-1)(n-1+m-1)=1, koska m ja n ovat samaa parillisuutta. Siis oikeaan alanurkkaan voi laittaa luvun -B=-C, ja taulukko on valmis, ja vastaus on 2((m-1)(n-1)).
PULMA 3.
Ongelma. Tarkastellaan ristikkoavainta. Oletetaan yksinkertaisuuden vuoksi, että se muodostuu kahdesta ympyrälieriöstä, joiden kummankin halkaisija on 1, ja joiden symmetria-akselit leikkaavat toisensa kulmassa x. Mikä on lieriöiden yhteinen tilavuus? (Tavallisesti ristikkoavaimessa kulma on suora ja ympyrälieriöt ovat joko ikäänkuin päällekkäin tai niiden risteämässä on pieni paksuuntuma.)
Vastaus. Yhteinen tilavuus on 2/(3*sin(x)).
Ratkaisu. Olkoon T se taso, johon molempien lieriöiden symmetria-akselit kuuluvat. Olkoon lisäksi O symmetria-akselien leikkauspiste, ja olkoon V kysytty tilavuus. Lieriöiden leikkaukset tason T kanssa ovat nauhoja, joiden leveys on 1, ja lieriöiden yhteisen tilavuuden leikkaus tason T kanssa on sama kuin näiden nauhojen leikkaus, eli suunnikas, jonka jokaisen sivun pituus on 1/sin(x), ja jonka eräs kulma on x. O-keskisen 1/2-säteisen pallon leikkaus tason T kanssa on 1/2-säteinen ympyrä, joka samalla on myös leikkaussuunnikkaan sisäänpiirretty ympyrä. (Ts. ympyrä sivuaa suunnikkaan sivuja.)
Tarkastellaan seuraavaksi jotakin toista tasoa U, joka on samansuuntainen tason T kanssa, mutta siitä etäisyydellä d joka on pienempi kuin 1/2. Lieriöiden leikkaukset tason U kanssa ovat nauhoja, joiden paksuus on sqrt(1-4d2). Näiden nauhojen leikkaus on jälleen suunnikas, jonka ala on 1-4d2 kertaa tasossa T olleen leikkaussuunnikkaan ala. Toisaalta, O-keskisen 1/2-säteisen pallon leikkaus tason U kanssa on sqrt(1-4d2)/2-säteinen ympyrä, joka itse asiassa on myös tasossa U sijaitsevan leikkaussuunnikkaan sisäänpiirretty ympyrä, koska ympyrällä ja suunnikkaalla on sama keskipiste. (Keskipistehän on itse asiassa tason T pisteen O kautta kulkevan kohtisuoran ja tason U leikkauspiste.) Tämän ympyrän ala on (1-4d2) kertaan tasossa T olleen 1/2-säteisen ympyrän ala, mikä tarkoittaa sitä, että tasossa U poikkileikkaussuunnikkaan ja -ympyrän alojen suhde on sama kuin tasossa T.
Täten siis lieriöiden yhteisen tilavuuden V suhde O-keskisen 1/2-säteisen pallon tilavuuden pi/6 kanssa on sama kuin yllä mainitun tasossa T sijaitsevan suunnikkaan alan 1/sin(x) ja sen sisäänpiirretyn 1/2-säteisen ympyrän alan pi/4 suhde, joka puolestaan on 4/(pi*sin(x)). Täten V=2/(3*sin(x)).
PULMA 4.
Ongelma. Määritä kaikki epänegatiivisten kokonaislukujen kolmikot (p,m,n), joissa p on alkuluku ja jotka toteuttavat yhtälön pm-n³=27.
Ratkaisu. Huomataan, että pm=27+n3=(n+3)(9-3n+n2). Koska p on alkuluku, on oikean puolen termien oltava luvun p potensseja. Lasketaan niiden suurin yhteinen tekijä:
syt(n+3,9-3n+n2)=syt(n+3,9-3n+n2-(n+3)2)=syt(n+3,9n)=syt(n+3,9n-9(n+3))=syt(n+3,27),
eli suurin yhteinen tekijä on 1, 3, 9 tai 27. Lisäksi n+3 on vähintään 3 ja pienempi kuin 9-3n+n2. Luvun p on siis oltava 3 ja luvun n+3 on oltava 3, 9 tai 27. Käydään nämä tapaukset läpi:
Jos n+3=3, niin n=0 ja 9-3n+n2=9. Siispä m=3.
Jos n+3=9, niin n=6 ja 9-3n+n2=27. Siispä m=5.
Jos n+3=27, niin n=24 ja 9-3n+n2=513, joka ei ole alkuluvun potenssi.
Kolmikot ovat siis (3,3,0) ja (3,5,6).
SUDOKU
TEK 1/2018 -lehdessä julkaistujen Pulmien ja Sudokun ratkaisut:
Tehtävät laatineet: Anne-Maria Ernvall-Hytönen, Esa Vesalainen. Sudoku: Arto Inkala
PULMA 1.
Ongelma. Osoita, että kun luvut 2017 ja 2019 korotetaan 2018. potenssiin ja lasketaan yhteen, tulos on jaollinen kymmenellä, mutta ei kahdellakymmenellä tai kolmellakymmenellä.
Ratkaisu. Luku 2019 on jaollinen kolmella, luku 2017 ei, joten niiden potenssien summa ei voi olla kolmella jaollinen.
Luvun 2019a viimeinen numero on jaksollinen, kun a saa arvoja 1, 2, 3, ... Viimeinen numero on vastaavasti 9, 1, 9, 1, ..., eli jos a on parillinen, on viimeinen numero 1, ja jos a on pariton, on viimeinen numero 9.
Luvun 2017a viimeinen numero on myös jaksollinen: 7, 9, 3, 1, 7, 9, 3, 1, ...
Näiden summan viimeinen numero on siis myös jaksollinen: 6, 0, 2, 2, 6, 0, 2, 2, ...
Jos siis a on muotoa 4k+2, on viimeinen numero 0, eli luku on jaollinen kymmenellä. Luku 2018 on täsmälleen tätä muotoa.
Koska luku 2017 on muotoa 8m+1, ovat sen kaikki potenssit muotoa 8n+1. Luku 2019 on puolestaan muotoa 8a+3, joten sen parilliset potenssit ovat muotoa 8b+1 ja parittomat potenssit muotoa 8b+3. Parillisten
potenssien summa on siis muotoa 8c+2, eli 2018. potenssien summa on jaollinen kahdella, ei neljällä, joten se ei voi olla koskaan luvulla 20 jaollinen.
PULMA 2.
Ongelma. Kolme nauhaa, joista jokaisen leveys on 1, leikkaavat toisensa kuvan mukaisella tavalla siten, että ne rajaavat teräväkulmaisen kolmion. Nauhojen päällekkäin menevät osat ovat suunnikkaita. Jos yhden suunnikkaan ala on A, ja toisen suunnikkaan ala on B, niin mikä on kolmannen suunnikkaan ala C?
Vastaus.
Ratkaisu. Olkoot keskelle syntyvän kolmion kulmat a, b ja c seuraavan kuvan mukaisesti.
Tarkastellaan ensin suunnikasta A. Sen kaikki sivut ovat yhtä pitkiä, ja voi helposti laskea, että sen sivun pituus on 1/sin(a). Suunnikkaan ala on siis A=(1/sin(a))*(1/sin(a))*sin(a)=1/sin(a). Samassa hengessä B=1/sin(b) ja C=1/sin(c). Nyt voimme laskea, että
PULMA 3.
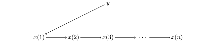
Ongelma. Kirsillä on 100 nukkea, ja hänellä on mistä tahansa kahdesta nukestaan voimakas mielipide siitä, kumpi niistä on parempi. Osoita, että Kirsi voi asettaa nuket järjestykseen niin, että jokainen nukke on hänen mielestään seuraavaa parempi.
Ratkaisu. Kirsi aloittakoon paremmuuslistan rakentamisen valitsemalla ensin kaksi nukkea. Ne hän voi helposti asettaa järjestykseen. Kasvatetaan seuraavaksi listaa nukke kerrallaan, kunnes kaikki nuket
ovat listalla. Oletetaan, että meillä on n nukkea x(1), x(2), ..., x(n), jotka ovat paremmuusjärjestyksessä, missä x(1) on parempi kuin x(2), x(2) parempi kuin x(3) ja niin edelleen. Seuraavassa kuvassa paremmuutta merkitään ilmeisellä tavalla nuolella.
Otetaan sitten tarkasteluun jokin vielä järjestämätön nukke y. Jos y on parempi kuin x(1), niin nuken y voi helposti lisätä listan alkuun:
Jos taas y on huonompi kuin x(n), niin nuken y voi lisätä listan loppuun. Siten voimme olettaa, että nukke y on huonompi kuin x(1) mutta parempi kuin x(n):
Nyt ei ole vaikea vakuuttua siitä, että listalta täytyy löytyä jotkin kaksi peräkkäistä nukkea x(i) ja x(i+1), joille x(i) on parempi kuin y mutta x(i+1) on huonompi kuin y,
ja voimme lisätä nuken y listalle nukkejen x(i) ja x(i+1) väliin.
PULMA 4.
Ongelma. Olkoot tetraedrissa kahden vierekkäisen tahkon pinta-alat A ja B, niiden välinen kulma c, ja niiden yhteisen sivun pituus d. Mikä tällöin on tetraedrin tilavuus?
Vastaus. Tilavuus on 2*A*B*sin(c)/(3*d).
Ratkaisu. Olkoon tetraedrin tahkoa B vastaan piirretyn korkeusjanan pituus h, jolloin tetraedrin tilavuus on V=B*h/3. Olkoon tahkon A yhteistä sivua d vasten piirretyn korkeusjanan pituus k, jolloin A=d*k/2. Seuraavassa kuvassa vasen etutahko on A, ja pohjatahko on B.
Nyt tarkastelemalla suorakulmaista kolmiota, jonka tangentin pituus on k ja toisen kateetin pituus h, nähdään, että sin(c)=h/k. Saaduista yhtälöistä on helppo ratkaista ensin, että k=2*A/d, ja sitten, että h=k*sin(c)=2*A*sin(c)/d, jolloin lopuksi V=B*h/3=2*A*B*sin(c)/(3*d).
SUDOKU
TEK 5/2017 -lehdessä julkaistujen Pulmien ja Sudokun ratkaisut:
Tehtävät laatineet: Anne-Maria Ernvall-Hytönen, Esa Vesalainen. Sudoku: Arto Inkala
PULMA 1.
Ongelma. Annetuille kokonaisluvuille a, b, c ja d määritellään polynomi:
P(x) = ax3 + bx2 + cx +d
Onko mahdollista, että P(1)=2017 ja P(2017)=0?
Vastaus. Ei ole.
Ratkaisu. Jos kokonaisluvut x ja y ovat molemmat parillisia, tai molemmat parittomia, niin varmasti erotukset d-d, cx-cy, bx2-by2 ja ax3-ay3 ovat parillisia, jolloin myös P(x)-P(y) on parillinen. Luvut 1 ja 2017 ovat molemmat parittomia, eli jos olisi P(1)=2017 ja P(2017)=0, niin luvun P(1)-P(2017)=2017 olisi oltava parillinen, mitä se ei ole.
PULMA 2.
Ongelma. Alla olevassa kuvassa on Turun metrokartta. Kuvan täplät merkitsevät metroasemia ja suorat viivat vierekkäisten asemien välisiä radanpätkiä. Insinööri haluaa tarkistaa kaikkien asemien sähköliitännät. Onko hänen mahdollista käydä asemat läpi metrolla niin, että hän käy jokaisella asemalla täsmälleen kerran ajamatta minkään metroaseman ohi pysähtymättä?
Vastaus. Ei ole.
Ratkaisu. Värjätään metroasemat vaaleanpunaisella ja violetilla siten, että vierekkäiset asemat väritetään aina eri väreillä. Jos kuvan keskimmäinen asema väritetään vaaleanpunaisella, on vaaleanpunaisia asemia 7 ja violetteja 9. Nyt nähdään, että jokaisen aseman kautta täsmälleen kerran kulkeva reitti ei voi olla mahdollinen, sillä jokainen reitti metrossa on sellainen, jossa aseman väri vaihtuu kahden aseman välillä, jolloin vaaleanpunaisten ja violettien asemien määrä reitillä poikkeaa enintään yhdellä.
PULMA 3.
Ongelma. Laske kulmat b ja c, kun kulma a on 21 astetta, kulma d on 30 astetta, kulmat BXA, CXB ja DXC ovat yhtä suuret, ja kulmat BYA, CYB ja DYC ovat yhtä suuret.
Vastaus. Kulma b on 24 astetta ja kulma c on 27 astetta.
Ratkaisu. Olkoon kulma BXA suuruudeltaan x, ja olkoon kulma DYC suuruudeltaan y. Olkoon P janojen AY ja BX leikkauspiste. Kolmioiden APX ja BPY kulmien summat ovat molemmat 180 astetta, ja niiden kulmat kärjessä P ovat yhtä suuret. Siten a+x=b+y, eli b=a+(x-y). Samanlainen argumentti kertoo, että c=b+(x-y) ja d=c+(x-y). Kaikkiaan d=a+3(x-y). Mutta koska d on 30 astetta ja a on 21 astetta, seuraa tästä välittömästi, että x-y on 3 astetta. Siten b on 21+3=24 astetta ja c on 24+3=27 astetta.
PULMA 4
Ongelma. Lemmikkieläinlehti päätti selvittää lukijakuntansa olemuksen. Tehtävä annettiin kesäharjoittelijalle. Kyselyyn saatiin tuhat vastausta. Kyselyssä selvitettiin asuuko lukija maalla vai kaupungissa, onko hänellä kissaa ja onko hänellä koiraa. Kyselyn vastausten mukaan vastanneista lukijoista 587 asui kaupungissa, 522 lukijalla oli koira, näistä kaupungissa asui 257, lukijoista 435:llä oli kissa, näistä kaupungissa asui 172. Sekä kissan että koiran omistajia oli 180, ja näistä kaupungissa asui 67. Toimituskunnan kokouksessa dataa hetken tuijotettuaan toimitussihteeri totesi, että data ei voi olla totta. Mistä toimitussihteeri tiesi tämän?
Ratkaisu. Koiranomistajia on 522, joista kaupungissa 257, joten maalla asui 522-257=265 koiranomistajaa. Kissanomistajia taas 435, joista kaupungissa 172, joten maalla 263. Koiran ja kissan omistajia 180, joista kaupungissa 67, joten maalla 113. Lemmikinomistajia on siis maalla 265+263-113=415, eli lemmikinomistajia on maalla enemmän kuin maalla asuvia yhteensä, koska heitä on vain 1000-587=413.
SUDOKU
TEK 4/2017 -lehdessä julkaistujen Pulmien ja Sudokun ratkaisut:
Tehtävät laatineet: Anne-Maria Ernvall-Hytönen, Esa Vesalainen. Sudoku: Arto Inkala
PULMA 1.
Ongelma. Luvun kymmenjärjestelmäesityksessä kymmenien ja ykkösten summa on 13 ja kaikkien numeroiden tulo 120. Mikä on satoja merkitsevä numero?
Ratkaisu. Koska kymmenien ja ykkösten summa on 13, on numeroiden näillä paikoilla oltava (4, 9), (5, 8) tai (6, 7) jossain järjestyksessä. Kaikkien numeroiden tulo on 120. Koska 120 ei ole jaollinen seitsemällä eikä yhdeksällä, ei ensimmäinen eikä viimeinen pari kelpaa, vaan oikean parin on oltava (5, 8). Niiden tulo on 40. Satojen kohdalla on siis oltava 3.
Ongelma. On annettu ympyrä Y, jonka säde on 7. Annikki ja Bertta pelaavat peliä, jossa he vuorotellen piirtävät 1-säteisiä ympyröitä ison ympyrän Y sisään. Piirrettävä ympyrä saa sivuta ympyrää Y sekä aiempia ympyröitä, mutta se ei koskaan saa leikata niitä. Annikki piirtää ympyrän ensimmäisenä, ja se, joka ensimmäisenä ei voi piirtää vuorollaan ympyrää, häviää pelin. Onko jommalla kummalla pelaajalla voittostrategiaa?
Ratkaisu. Annikilla on voittostrategia. Nimittäin, jos hän ensimmäisellä vuorollaan piirtää 1-säteisen ympyränsä ison ympyrän keskelle, niin silloin hän voi sen jälkeen aina vuorollaan tehdä Bertan edellisen siirron peilikuvan ympyrän Y keskipisteen suhteen.
Ongelma. Kolmiossa ABC on AC=BC, ja sen sisäänpiirretyn ympyrän säde on 2. Lisäksi eräs 1-säteinen ympyrä sivuaa sekä sisäänpiirrettyä ympyrää että sivuja AC ja BC. Mikä onkaan kolmion pisteestä C piirretyn korkeusjanan pituus?
Ratkaisu. Merkitään 2-säteisen ympyrän keskipistettä I, ja 1-säteisen ympyrän keskipistettä J. Merkitään lisäksi 2-säteisen ympyrän ja sivun BC sivuamispistettä D, ja 1-säteisen ympyrän ja sivun BC sivuamispistettä E. Koska JE ja ID ovat molemmat kohtisuorassa sivua BC vastaan, ovat kolmiot CJE ja CID yhdenmuotoisia. Erityisesti on siis oltava CI:CJ=ID:JE=2:1, eli CJ+3=CI=2*CJ, mistä ratkaistaan helposti, että CJ=3. Mutta nyt kolmion korkeus on CJ+1+2+2=8.
Ongelma. Pöydällä on 1001 kiveä yhdessä kasassa. Seuraavaa operaatiota suoritetaan toistuvasti: otetaan yksi kasa, poistetaan siitä yksi kivi, ja sitten jäljelle jäänyt kasa jaetaan kahdeksi eri kasaksi (joiden ei tarvitse olla yhtä suuria). Onko näin toimimalla mahdollista päästä tilanteeseen, jossa pöydän jokaisessa kasassa on täsmälleen kolme kiveä?
Ratkaisu. Kasojen lukumäärän ja kivien lukumäärän summa säilyy muuttumattomana. Alussa summa on jakojäännökseltään 2 neljällä jaettaessa, mutta tilanteessa, jossa jokaisessa kasassa olisi täsmälleen kolme kiveä, se olisi neljällä jaollinen. Siten jälkimmäiseen tilanteeseen ei ole mahdollista päästä.
Sudoku
TEK 3/2017 -lehdessä julkaistujen Pulmien ja Sudokun ratkaisut:
Tehtävät laatineet: Anne-Maria Ernvall-Hytönen, Esa Vesalainen. Sudoku: Arto Inkala
PULMA 1.
Ongelma. Ympyrän, jonka säde on neljä, sisältä on annettu 61 pistettä. Osoita, että näiden pisteiden joukosta löytyy kaksi, joiden välinen etäisyys on enintään neliöjuuri kahdesta.
Ratkaisu. Piirretään ympyrän ympärille 8-sivuinen neliö, ja jakakaamme se 64 yksikköneliöksi. On helppo varmistaa, että ympyrä ei leikkaa nurkissa olevia yksikköneliöitä, eli ympyrä leikkaa vain 60 pientä neliötä, jolloin jotkin kaksi annetuista pisteistä löytyvät saman yksikköneliön alueelta (reuna mahdollisesti mukaan lukien). Väite koskien nurkkaneliöitä on helppo varmistaa vaikkapa seuraavasti: nurkkaneliön lähinnä ympyrän keskipistettä oleva kärki on ympyrän keskipisteestä etäisyydellä sqrt(32+32)=3*sqrt(2)>4.
PULMA 2.
Ongelma. Etsi kaikki positiiviset kokonaisluvut n, joilla n3+5n2+10n+1 on jonkin kokonaisluvun kolmas potenssi.
Ratkaisu. Jokaisella n on (n+1)3=n3+3n2+3n+1 ja (n+2)3=n3+6n2+12n+8, eli (n+1)3<n3+5n2+10n+1<(n+2)3. Koska lauseke aina sijaitsee aidosti kahden peräkkäisen kuutioluvun välissä, ei se itse voi koskaan olla kuutioluku.
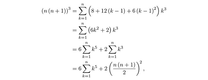
PULMA 3.
Ongelma. Alla olevassa kuvassa on 1-särmäisistä kuutioista koostuva 2-särmäinen kuutio, 2-särmäisistä kuutioista koostuva 6-särmäinen kuutio, ja 3-särmäisistä kuutioista koostuva 12-särmäinen kuutio. Mitä voit päätellä kuvioista, kun tiedetään, että positiivisille kokonaisluvuille n pätee
Ratkaisu. Kuutioita tarkastelemalla voi päätyä tällaiseen havaintoon: kun k on positiivinen kokonaisluku, voi k(k-1)-särmäisen kuution peittää tiiviisti k-särmäisillä kuutioilla, jolloin saadaan isompi (k+1)k-särmäinen kuutio. Näitä k-särmäisiä kuutioita tarvitaan 8+12(k-1)+6(k-1)2 kappaletta. Siten
ja pienellä sievennyksellä saadaan
PULMA 4.
Ongelma. Lumisen kevään kunniaksi on alla olevassa kuvassa lumiukko, jota nyt tarkastellaan. Lumiukon alemman pallon säde on kaksi, ylemmän pallon säde on yksi. Lumiukon ylempi pallo on asetettu alemman pallon päälle niin, että ylemmän pallon keskipiste on alemman pallon kuorella, ja ylemmästä pallosta on koverrettu riittävästi lunta pois, että se asettuu saumattomasti alemmalle pallolle. Määritä pinta-ala.
Ratkaisu. Katsotaan alla olevaa ratkaisukuvaa. Pallojen keskipisteiden etäisyys on kaksi. Saadaan siis Pythagoraksen lauseella yhtälöt x2+y2=1 ja x2+(2-y)2=22. Toisesta yhtälöstä ensimmäinen vähentämällä saadaan y=1/4. Pallojen yhteenlaskettu pinta-ala on 4pi(12+22)=20pi. Lasketaan poistuneiden kalottien alat. Kalotin alan kaava on 2pi rh, missä r on pallon säde ja h kalotin korkeus. Isomman pallon poistuneelle kalotille tämä antaa 2pi*2/4=pi, sillä kalotin korkeus on äsken ratkaistu y=1/4. Pienemmälle pallolle taas kalotin korkeus on 1-1/4=3/4, joten ala on 2pi*1*3/4=3pi/2. Yhteensä ala on siis 20pi-pi-3pi/2=17,5pi.
TEK 2/2017 -lehdessä julkaistujen Pulmien ratkaisut:
Tehtävät laatineet: Anne-Maria Ernvall-Hytönen, Esa Vesalainen. Sudoku: Arto Inkala
PULMA 1
Ongelma. Ilmassa leijuu metrin pituinen suora langanpätkä. Sen päällä on sata pienen pientä muurahaista, joista jokainen kävelee langanpätkää pitkin tasaisella nopeudella 1 cm sekunnissa jompaan kumpaan käytettävissä olevista suunnista. Kun kaksi muurahaista törmäävät, ne molemmat kääntyvät ja jatkavat matkaansa samalla nopeudella siihen suuntaan mistä tulivatkin. Kun muurahainen saapuu langanpätkän jompaan kumpaan päähän, se putoaa siltä pois. Kuinka kauan on odotettava, että kaikki muurahaiset ovat varmasti pudonneet pois?
Vastaus. Sata sekuntia.
Ratkaisu. Kysymyksemme kannalta muurahaisten identiteeteillä ei ole mitään merkitystä ja voimme siksi olettaa, että kahden muurahaisen törmätessä ne vain jatkavat matkaansa toistensa läpi ikään kuin mitään törmäystä ei olisi koskaan tapahtunutkaan. Mutta nyt langanpätkän tyhjenemiseen menee enintään niin kauan kuin yhdeltä muurahaiselta kestää kävellä sen päästä päähän, eli tasan sata sekuntia.
PULMA 2
Ongelma. Oheisessa kuviossa on suunnikas, joka on jaettu janoilla kolmioiksi ja nelikulmioiksi. Osoita, että harmaiden alueiden alojen summa on yhtä suuri kuin mustan alueen ala.

Ratkaisu. Merkitään kuviossa neliöiden ja kolmioiden aloja a, b, c, d, r ja s seuraavan kuvion mukaisesti.

Luonnollisesti r+d+s on puolet koko suunnikkaan alasta. Samassa hengessä r+a+b+s+c on puolet koko suunnikkaan alasta. Siten r+d+s=r+a+b+s+c, mikä sievenee muotoon d=a+b+c, mikä oli todistettava.
PULMA 3
Ongelma. Honkapitäjän ja Koivulaakson välillä kulkevia junia lähtee kummassakin kaupungissa tunnin välein tasatunnein. Matka kestää tasan neljä tuntia. Matti matkusti junalla Honkapitäjästä Koivulaaksoon ja katseli junan ikkunasta koko matkan ajan. Montako Koivulaaksosta Honkapitäjään matkalla olevaa junaa hän näki matkansa aikana? (Tässä mahdollisia juuri Honkapitäjään saapumassa olevia tai Koivulaaksosta lähdössä olevia junia ei oteta huomioon.)
Vastaus. Matti näki seitsemän vastaantulevaa junaa.
Ratkaisu. Piirretään kuva, jossa aika kuluu vaakasuunnassa ja rata pystysuunnassa. Matin juna on merkitty paksulla viivalla, ja muut viistot viivat ovat Koivulaaksosta Honkapitäjään matkustavia junia.

SUDOKU

TEK 1/2017 -lehdessä julkaistujen Pulmien ratkaisut:
Tehtävät laatineet: Anne-Maria Ernvall-Hytönen, Esa Vesalainen. Sudoku: Arto Inkala
PULMA 1
Ongelma. Oheisessa kuvassa on kolme säännöllistä seitsenkulmiota, joiden sivujen pituudet ovat 3, 4 ja 7. Kuinka suuren osan isoimman seitsenkulmion alasta kaksi pienempää seitsenkulmiota peittävät?

Vastaus. Pienemmät seitsenkulmiot peittävät 25/49 isoimman seitsenkulmion alasta.
Ratkaisu. Kun pituudet kerrotaan vakiolla a, pinta-alat tulevat kerrotuiksi neliöllä a2. Siten pienimmän seitsenkulmion ala on (3/7)2 = 9/49 isoimman seitsenkulmion alasta, ja toiseksi pienimmän seitsenkulmion ala (4/7)2 = 16/49. Yhteensä ison seitsenkulmion alasta peittyy siis (9 + 16)/49 = 25/49.
PULMA 2
Ongelma. Onko oheinen 6 × 6 -ruudukko mahdollista peittää oheisilla 15 laatalla?

Vastaus. Ei ole.
Ratkaisu. Oletetaan, että halutunlainen laatoitus olisi mahdollinen. Väritetään ruudukon ruudut mustalla ja valkealla samoin kuin šakkilaudan ruudut. Näin syntyy 18 mustaa ja 18 valkeaa ruutua. Laatoista 4×1- ja 2×1-laatat kummatkin peittävät aina yhtä monta valkeaa ja mustaa ruutua, ja siten yhdessä niiden muotoiset laatat peittävät 14 mustaa ja 14 valkeaa ruutua. Loput neljä mustaa ja neljä valkeaa ruutua pitäisi siis peittää viiden ruudun ristikkolaatalla ja kolmen ruudun nurkkalaatalla, mutta tämä ei ole mahdollista. Tämän näkee toteamalla vaikkapa, että ristikkolaatta peittäisi jo yksinään joko kaikki jäljelle jääneet mustat tai kaikki jäljelle jääneet valkeat ruudut, jolloin nurkkalaattaa, jonka on aina peitettävä ainakin yksi musta ja yksi valkea ruutu, ei voisi asettaa laudalle.
PULMA 3
Ongelma. Matti kirjoittaa lukuja joukosta {1, 2, 3, . . . , 998, 999, 1000} liitutaululle jonoon. Hän haluaa, että kahden peräkkäisen luvun summa on aina jaollinen sadalla. Kuinka pitkään hän voi jatkaa ennen kuin hänen viimeistään on kirjoitettava taululle jokin jo aiemmin kirjoitettu luku?
Vastaus. Viimeistään 21. luku on jo esiintynyt taululla aiemmin.
Ratkaisu. Kirjoittakoon Matti taululle luvut x1, x2, . . . , xN , missä N on positiivinen kokonaisluku. Koska luvut x1 + x2 ja x2 + x3 ovat molemmat sadalla jaollisia, on myös niiden erotus x1 − x3 sadalla jaollinen. Täten luvuilla x1 ja x3 on sama jakojäännös sadalla jaettaessa. Mutta nyt ei ole hankala todeta, että luvuilla x1, x3, x5, . . . on keskenään sama jakojäännös sadalla jaettaessa, ja samoin luvuilla x2, x4, x6, . . . on keskenään sama jakojäännös sadalla jaettaessa. Jokaisella mahdollisella jakojäännöksellä sadalla jaettaessa on listassa 1, 2, 3, . . . , 1000 täsmälleen kymmenen lukua, joilla on tuo jakojäännös. Täten lukuja x1, x3, ...on enintään kymmenen kappaletta, ja samaten lukuja x2, x4, ...on enintään kymmenen kappaletta. Täten N on enintään 10 + 10 = 20. Toisaalta, arvo N = 20 on mahdollinen, jos Matti kirjoittaa taululle vaikkapa luvut 1, 999, 101, 899, 201, 799, 301, 699, 401, 599, 501, 499, 601, 399, 701, 299, 801, 199, 901, 99.
PULMA 4
Ongelma. Luvut 1, 2, 3, 4, ..., 2016 ja 2017 kerrotaan keskenään. Kuinka moneen nollaan näin saatu luku päättyy?
Vastaus. Tulo päättyy 502 nollaan.
Ratkaisu. Yksikäsitteisen tekijöihinjaon vuoksi meitä kiinnostaa vain se, kuinka monta kertaa alkuluvut 2 ja 5 esiintyvät tulon tekijöihinjaossa. Ensinnäkin, joka viides tulontekijöistä on viidellä jaollinen, ja näin saadaan 403 kappaletta alkulukua 5. Toiseksi, joka 25. tulontekijöistä on jaollinen luvulla 25, joten saadaan 80 kappaletta alkulukua 5 lisää. Edelleen, tarkastelemalla jaollisuutta luvun 5 kolmannella potenssilla 125 saadaan 16 kappaletta lisää, ja neljännellä potenssilla 625 saadaan vielä 3 kappaletta lisää. Viides potenssi 3125 onkin jo isompi kuin 2017. Yhteensä alkuluku 5 esiintyy siis 403 + 80 + 16 + 3 = 502 kertaa tulon tekijöihinjaossa. Nyt on varsin selvää, että alkuluku 2 esiintyy useammin kuin alkuluku 5, ja itse asiassa samanlaisella argumentilla näkee, että luku 2 esiintyy tekijöihinjaossa peräti 2010 kertaa. Yhteensä tulo päättyy siis 502 nollaan.
SUDOKU

TEK 5/2016 -lehdessä julkaistun Sudokun ratkaisu:
TEK 4/2016 -lehdessä julkaistun Sudokun ratkaisu:

TEK 3/2016 -lehdessä julkaistun Sudokun ratkaisu:
TEK 2/2016 -lehdessä julkaistun Sudokun ratkaisu:
TEK 1/2016 -lehdessä julkaistun Sudokun ratkaisu:
TEK 5/2015 -lehdessä julkaistun Sudokun ratkaisu:

TEK 4/2015 -lehdessä julkaistun Sudokun ratkaisu:

TEK 3/2015 -lehdessä julkaistun Sudokun ratkaisu:
TEK 2/2015 -lehdessä julkaistun Sudokun ratkaisu:
TEK 1/2015 -lehdessä julkaistun Sudokun ratkaisu:

TEK 7/2014 -lehdessä julkaistun Sudokun ratkaisu:
TEK 6/2014 -lehdessä julkaistun Sudokun ratkaisu:

TEK 5/2014 -lehdessä julkaistun Sudokun ratkaisu:

TEK 4/2014 -lehdessä julkaistun Sudokun ratkaisu:

TEK 3/2014 -lehdessä julkaistun Sudokun ratkaisu:

TEK 2/2014 -lehdessä julkaistun Sudokun ratkaisu:

TEK 1/2014 -lehdessä julkaistun Sudokun ratkaisu:

TEK 7/2013 -lehdessä julkaistun Sudokun ratkaisu:

TEK 6/2013 -lehdessä julkaistun Sudokun ratkaisu:







