Sudoku ja pulmat

TEK 4/2022 -lehdessä julkaistujen Pulmien ja Sudokun ratkaisut

Tehtävät: Anne-Maria Ernvall-Hytönen ja Esa Vesalainen, Sudoku: Arto Inkala

PULMA 1

Ongelma: Tarkastelkaamme yksikköneliötä ABCD. Piirrämme ympyränkaaren neljänneksen pisteestä A pisteeseen C käyttäen pistettä D keskipisteenä. Tältä kaarelta valitaan jokin piste Z. Olkoon X pisteen Z projektio sivulle BC, ja olkoon Y pisteen Z projektio sivulle AB. Mikä on janan XY pienin mahdollinen pituus?

optimointineliö

Ratkaisu: Koska BXZY on suorakaide, sen lävistäjät ovat yhtä pitkiä, joten XY=BZ.

optimointineliö, ratkaisu

Nyt on selvää, että toivottu minimi saavutetaan kun Z on se piste, jossa ympyränkaari ja jana BD leikkaavat. Siten toivottu minimipituus on neliön lävistäjän ja ympyrän säteen erotus, eli sqrt(2)-1.

optimointineliö, ratkaisu, vaihe 2

PULMA 2

Ongelma: Olkoon p satanumeroinen alkuluku. Osoita, että jokin numero esiintyy luvun p kymmenjärjestelmäesityksessä ainakin yksitoista kertaa.

Ratkaisu: Jos mikään numero ei esiintyisi luvussa p enempää kuin kymmenen kertaa, olisi jokaisen numeroista 0, 1, 2, ..., 9 esiinnyttävä siinä täsmälleen kymmenen kertaa. Silloin luvun p numeroiden summa olisi 10*(0+1+2+...+9)=450. Mutta nyt luvun p numeroiden summa olisi kolmella jaollinen, joten luvun p olisi oltava myös kolmella jaollinen, mikä on mahdotonta.

PULMA 3

Ongelma: Oheisessa kuvassa on erään saarivaltion junakartta, joka kuvaa kaupunkeja ja niiden välisiä suoria junayhteyksiä. Kutsumme kahta kaupunkia naapurikaupungeiksi, jos niiden välillä on suora junayhteys. Rachel, joka asuu kuvion keskimmäisessä kaupungissa, aikoo lomailla matkustelemalla eri kaupunkeihin käyttämällä toistuvasti seuraavaa strategiaa: ensin hän valitsee jonkin naapurikaupungin satunnaisesti tasaisella todennäköisyysjakaumalla, ja sitten hän matkustaa sinne suoralla junayhteydellä. Millä todennäköisyydellä Rachel löytää itsensä valkealla merkitystä kaupungista matkustettuaan junalla 1 001 kertaa?

junakartta

Ratkaisu: Värittämällä kaupungit sopivasti mustalla ja valkealla, kuten oheisessa kuvassa, mustien kaupunkien naapurikaupungit ovat kaikki valkeita, ja valkeiden kaupunkien naapurit kaikki mustia.

junakartta, ratkaisu

Siten parittoman monen junamatkan jälkeen Rachel löytyy varmasti valkeasta kaupungista. Koska valkeita kaupunkeja on seitsemän, ja koska symmetrian perusteella Rachelin todennäköisyydet päätyä eri valkeisiin kaupunkeihin ovat yhtä suuret, on kysytty todennäköisyys 1/7.

PULMA 4

Ongelma: Ympyrän kehältä on poimittu pisteet A, B, C ja D niin, että jänteet AB, BC ja CD pilkkovat ympyrän neljään osaan, joilla on yhtä suuret alat. Merkitsemme kulmaa CBA radiaaneissa kirjaimella x. Kuinka suuri on 2x+sin(2x)?

Kuvio: viipaleet 1

Ratkaisu. Koska jänne BC pilkkoo ympyrän kahteen osaan, joilla on oltava sama ala, kulkee BC ympyrän keskipisteen O kautta. Kehäkulmalauseen nojalla COA=2*CBA=2x, jolloin AOB=pi-2x, missä pi on tietenkin 180 astetta radiaaneissa.

Kuvio: viipaleet 2

Kolmion AOB ala on nyt

Laskutoimitus, viipaleet 3

missä r on ympyrän säde, ja lyhyempää kaarta AB vastaavan sektorin ala on

Laskutoimitus, viipaleet 4

Siten jännettä AB vastaavan pienemmän ympyräsegmentin ala on toisaalta sektorin ja kolmion alojen erotus, ja toisaalta pi*r^2/4, joten

Laskutoimitus, viipaleet 5

Muistamalla, että sin(pi-t)=sin(t) kaikille reaaliluvuille t, jakamalla puolittain pois r^2/2, ja ryhmittelemällä termejä hieman, yhtälö sievenee muotoon

Laskutoimitus, viipaleet 6

SUDOKU

Sudokun ratkaisu 4/22

TEK-lehden Kesäristikko

kesäristikon ratkaisu
TEK-lehden 3/2022 Kesäristikon ratkaisu (laadinta Teemu Pallonen, www.sanaris.fi)

TEK 3/2022 -lehdessä julkaistujen Pulmien ja Sudokun ratkaisut

Tehtävät: Anne-Maria Ernvall-Hytönen ja Esa Vesalainen, Sudoku: Arto Inkala

PULMA 1

Ongelma: Yksikköneliön ABCD sivuille piirretään puoliympyrät, kuten kuvassa. Mikä on näiden puoliympyröiden ympyrän ABCD ulkopuolelle jäävä kuvassa väritetty ala?

pulma 1, sirpit, lehti numero 3/22

Ratkaisu: Väritetty ala saadaan, kun lasketaan puoliympyröiden alat ja neliön ala yhteen, ja sitten vähennetään ympyrän ala. Puoliympyröiden halkaisijoiden pituudet ovat yhtä suuria kuin 1, neliön sivun pituus on 1, ja ympyrän halkaisijan pituus on sama kuin neliön lävistäjän pituus, eli luvun 2 neliöjuuri. Siten kysytty ala on

pulma 1, ratkaisu, sirpit

PULMA 2

Ongelma: Osoita, ettei 2022 peräkkäistä kokonaislukua voi osittaa kolmeksi joukoksi A, B ja C niin, että joukon A lukujen tulo, joukon B lukujen tulo ja joukon C lukujen tulo olisivat keskenään yhtä suuria.

Ratkaisu: Luku 1013 on alkuluku. Mistä tahansa 2022 peräkkäisestä kokonaisluvusta ainakin yksi mutta enintään kaksi on jaollisia luvulla 1013. Siten, ositettaessa nämä peräkkäiset luvut kolmeksi joukoksi, ainakin yhden joukon lukujen tulo on jaollinen luvulla 1013, ja ainakin yhden joukon lukujen tulo on sillä jaoton. Siten joukkojen lukujen tulot eivät voi olla keskenään yhtä suuria.

PULMA 3

Ongelma: Koululuokassa on 29 oppilasta. Heille tehtiin kysely, jossa heiltä kysyttiin seuraavat kysymykset: tykkäävätkö he enemmän hampurilaisista vai pizzasta, onko heillä lemmikkiä ja tulevatko he kouluun kävellen vai pyörällä. Kukin vastasi jokaiseen kysymykseen antamalla vain toisen vaihtoehdoista. Vastaajia oli 29. Tulokset olivat seuraavat:

  • 6 oppilasta ilmoitti, että heillä ei ole lemmikkiä.
  • 17 oppilasta kertoi syövänsä mieluummin hampurilaisia.
  • 15 oppilasta ilmoitti käyttävänsä pyörää.
  • 4 oppilasta kertoi käyttävänsä pyörää, eikä omistavansa lemmikkiä.
  • 5 oppilasta kertoi syövänsä mieluummin hampurilaisia, ja ettei omista lemmikkiä.
  • 8 oppilasta kertoi käyttävänsä pyörää ja syövänsä mieluummin hampurilaisia.
  • 1 oppilas vastasi käyttävänsä pyörää, syövänsä mieluummin hampurilaisia ja että hänellä ei ole lemmikkiä.

Voivatko tulokset pitää paikkaansa?

Ratkaisu: Tähän on useita erilaisia ratkaisumahdollisuuksia. Tämän voi ratkaista esimerkiksi näin:

Koska 5 oppilasta kertoi syövänsä mieluummin hampurilaisia, ja ettei omista lemmikkiä ja 1 oppilas vastasi käyttävänsä pyörää, syövänsä mieluummin hampurilaisia ja että hänellä ei ole lemmikkiä, niin on olemassa 4 oppilasta, jotka syövät mieluummin hampurilaisia, joilla ei ole lemmikkiä ja jotka kävelevät.

Lisäksi 4 oppilasta kertoi käyttävänsä pyörää, eikä omistavansa lemmikkiä. On siis oltava ainakin 8 oppilasta, joilla ei ole lemmikkiä: ne 4, jotka pyöräilevät, ja ne 4, jotka kävelevät. Kuitenkin vain 6 oppilasta ilmoitti, että heillä ei ole lemmikkiä.

Tulokset eivät siis pidä paikkaansa.

PULMA 4

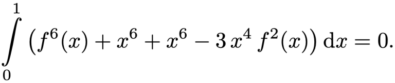
Ongelma: Etsi kaikki välillä [0,1] määritellyt reaaliarvoiset jatkuvat funktiot f, joille pätee

pulma 4, integraali, lehti 3/22

Ratkaisu: Voimme kirjoittaa yhtälön muodossa

pulma 4, integraali, ratkaisu

Kolmen muuttujan aritmeettis-geometrisen epäyhtälön nojalla integrandi on tässä aina epänegatiivinen. Lisäksi, koska integrandi on jatkuva, voi integraali olla nolla vain ja ainoastaan silloin, kun integrandi on nolla koko välillä [0,1]. Aritmeettis-geometrisen epäyhtälön yhtäsuuruusehdon nojalla tämä pätee vain ja ainoastaan silloin, kun (f(x))^6=x^6 kaikissa välin [0,1] pisteissä x, mikä puolestaan tarkoittaa samaa kuin, että jokaisella x on pädettävä f(x)=x tai f(x)=-x. Erityisesti lausekkeiden x ja -x välillä [0,1] määrittelemät kaksi funktiota ovat halutunlaisia. Toisaalta, halutunlaisen funktion on nyt varmasti saatava arvo f(0)=0, ja lisäksi f ei voi saada arvoa nolla välillä ]0,1]. Siispä f saa jatkuvana funktiona vain joko positiivisia arvoja välillä ]0,1], tai vain negatiivisia. Siten joko f(x)=x kaikissa välin [0,1] pisteissä x, tai sitten f(x)=-x kaikissa välin [0,1] pisteissä x. Ja nämä kaksi funktiota olivatkin ratkaisuita, joten olemme valmiita.

SUDOKU

sudokun ratkaisu 3/22

TEK 2/2022 -lehdessä julkaistujen Pulmien ja Sudokun ratkaisut

Tehtävät: Anne-Maria Ernvall-Hytönen ja Esa Vesalainen, Sudoku: Arto Inkala

PULMA 1

Ongelma: Tarkastellaan neljää peräkkäistä lukua. Kolmen ensimmäisen keskiarvo on 2021. Kolmen viimeisen keskiarvo on 2022. Viimeinen neljästä luvusta on 2023. Mikä on ensimmäinen luvuista?

Ratkaisu: Olkoot luvut a, b, c ja d, jolloin a+b+c=3*2021, b+c+d=3*2022 ja d=2023. Siten kysytty ensimmäinen luku on a = (a + b + c) + d – (b + c + d) = 3 · 2021 + 2023 – 3 · 2022 = 2020.

PULMA 2

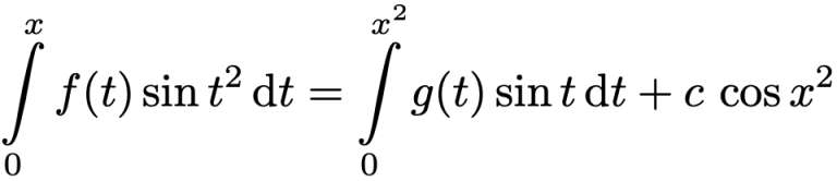
Ongema: Funktiot f ja g ovat jatkuvia reaalisuoralla määriteltyjä reaaliarvoisia funktioita, ja c olkoon reaalivakio. Jos tiedämme, että

integraalit

kaikilla reaaliluvuilla x, niin kuinka suuri on c?

Ratkaisu: Kun x = 0, kumpikin integraali häviää, ja lisäksi cos(x^2) = 1, joten c = 0.

PULMA 3

Ongelma: Kuuluisa etsivä osallistui 144 hengen juhlaillalliselle. Eräässä kohtaa iltaa ilmeni, että hänen pöydässään 6 henkilöä uskoi kätelleensä kukin ainakin 141 muuta osallistujaa, kun taas 5 uskoi kätelleensä kukin enintään 3 muuta osallistujaa. Tähän kuuluisa etsivä julisti välittömästi, että jonkun on muistettava väärin! Miksi hän oli jälleen oikeassa?

Ratkaisu: Olettakaamme, että henkilöt A, B, C, D, E ja F olisivat kukin kätelleet ainakin 141 kertaa, ja että henkilöt V, W, X, Y ja Z olisivat kätelleet kukin enintään 3 kertaa. Olkoon N niiden kättelyiden lukumäärä, missä joku henkilöistä A, B, C, D, E ja F kätteli jonkun henkilöistä V, W, X, Y tai Z kanssa. Koska kukin viimeksi mainituista viidestä henkilöstä kätteli enintään kolme kertaa, olisi luvun N oltava enintään 5*3=15. Toisaalta, koska jokainen henkilöistä A, B, C, D, E ja F kätteli ainakin 141 kertaa, on kunkin heistä täytynyt kätellä ainakin kolmea henkilöistä V, W, X, Y ja Z. Siten luvun N täytyisi olla ainakin 6*3=18, vastoin edellistä arviotamme. Tämä ristiriita osoittaa, että kaikki eivät voi muistaa kättelyitään oikein.

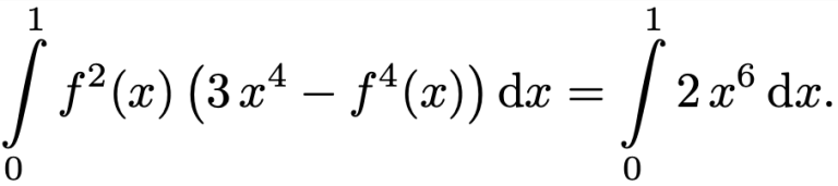
PULMA 4

Ongelma: Onko olemassa kokonaislukua x niin, että

kertomat
Huom! Tässä huutomerkki merkitsee kertomaa: positiivisen kokonaisluvun n kertoma n! on lukujen 1, 2, ..., n tulo.

Ratkaisu: Termistä (3!)^2021 alkaen jokainen termi on jaollinen yhdeksällä. Ensimmäinen termi on 1, ja toinen termi on 2^2021. Luvun 2 potenssien 2, 2^2, 2^3, ... jakojäännökset yhdeksällä jaettaessa ovat 2, 4, 8, 7, 5, 1, 2, ... Huomaamme tästä, että tässä jonossa ensimmäiset kuusi jakojäännöstä toistuvat kuuden lohkoissa. Koska 2022
on kuudella jaollinen, on potenssin 2^2021 jakojäännös yhdeksällä jaettaessa siis 5. Koko summan jakojäännös yhdeksällä jaettaessa on siis 1+5=6. Tämä merkitsee sitä, että summa on kolmella jaollinen, mutta ei yhdeksällä jaollinen, joten se ei voi olla neliöluku.

SUDOKU

sudoku, ratkaisu 2 2022